Foram encontradas 40 questões.
2911753
Ano: 2023
Disciplina: Legislação Estadual e Distrital
Banca: FUNDATEC
Orgão: Pref. Harmonia-RS
Disciplina: Legislação Estadual e Distrital
Banca: FUNDATEC
Orgão: Pref. Harmonia-RS
Provas:
De acordo com o texto do Estatuto Nacional da Igualdade Racial, consolidando o
esporte e o lazer como direitos sociais, o poder público fomentará o pleno acesso da população negra
às práticas:
Provas
Questão presente nas seguintes provas
2911752
Ano: 2023
Disciplina: Legislação Estadual e Distrital
Banca: FUNDATEC
Orgão: Pref. Harmonia-RS
Disciplina: Legislação Estadual e Distrital
Banca: FUNDATEC
Orgão: Pref. Harmonia-RS
Provas:
De acordo com o texto do Estatuto da Igualdade Racial do Rio Grande do Sul, o
Estado visará medidas reparatórias e compensatórias para os negros pelas sequelas e consequências
advindas do período da:
Provas
Questão presente nas seguintes provas
Patrícia é professora em uma escola e está realizando uma campanha de arrecadação
de produtos de higiene pessoal e produtos de limpeza, para ajudar as pessoas atingidas pela enchente
no mês de junho no Rio Grande do Sul. Seus alunos arrecadaram 1.000 produtos de higiene pessoal
e 800 produtos de limpeza. Ela deve organizar os kits de doação de modo que todos tenham a mesma
quantidade de produtos de higiene pessoal e produtos de limpeza. Considerando que todos os produtos
foram doados e colocados nos kits e, ainda, que a professora organizou os produtos montando a maior
quantidade de kits possíveis, é correto afirmar que:
Provas
Questão presente nas seguintes provas
O polinômio que representa a área de um retângulo com base medindo x + 3 e altura
x – 7 é:
Provas
Questão presente nas seguintes provas
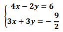
Considerando o sistema de equação de 1º grau a seguir, pode-se afirmar que os
valores de x e y são, respectivamente, iguais a:


Provas
Questão presente nas seguintes provas
Duda recebeu R$ 140.000,00 referente à uma herança. Ela destinou 20% desse valor
para pagar dívidas e o restante aplicou, a juros simples de 2% a.m, durante 8 meses. Qual foi o valor
dos juros dessa aplicação que Duda recebeu após os 8 meses?
Provas
Questão presente nas seguintes provas
Maria teve três filhos: José, Pedro e Liz. A avó de Pedro teve dois filhos, Maria e
Carlo. Carlo é casado com Sandra e eles tem um filho chamado Luís. Sabendo disso, pode-se afirmar
que:
Provas
Questão presente nas seguintes provas
Mariana trabalha confeccionando guardanapos de tecido para decoração. Ela recebeu
uma encomenda para fazer 30 guardanapos iguais na forma de losango. Sabendo que a diagonal
maior de cada losango de tecido medirá 25 cm e a diagonal menor medirá 13 cm, qual será a área
total, em centímetros quadrados, que os 30 guardanapos de tecido terão?
Provas
Questão presente nas seguintes provas
O gráfico da função de 2º grau f(x) = x2 + 4x + 3 é:
Provas
Questão presente nas seguintes provas
Referente às operações fundamentais, analise as assertivas abaixo:
I. O produto de um número inteiro positivo por um número inteiro negativo será sempre um número inteiro positivo.
II. A adição de um número inteiro positivo com outro número inteiro positivo resultará em um número positivo.
III. Um número natural elevado a uma potência ímpar resultará necessariamente em um número par.
IV. O valor do triplo da raiz quadrada de quarenta e nove é vinte e um.
Quais estão corretas?
I. O produto de um número inteiro positivo por um número inteiro negativo será sempre um número inteiro positivo.
II. A adição de um número inteiro positivo com outro número inteiro positivo resultará em um número positivo.
III. Um número natural elevado a uma potência ímpar resultará necessariamente em um número par.
IV. O valor do triplo da raiz quadrada de quarenta e nove é vinte e um.
Quais estão corretas?
Provas
Questão presente nas seguintes provas
Cadernos
Caderno Container