Foram encontradas 548 questões.
Provas
Provas
- FundamentosPotenciação e RadiciaçãoRadiciação
- FundamentosPotenciação e RadiciaçãoPotenciação
- Álgebra
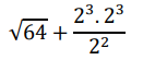
Assinale a alternativa que apresenta CORRETAMENTE o resultado de:

Provas
Provas
Leia atentamente o texto a seguir, escrito pelo cronista brasileiro Paulo Mendes Campos, para responder à questão.
Professores de melancolia
É bem possível, segundo já afirmaram, que a tristeza dos homens vá aumentando à medida que se inventem novos instrumentos de conforto. Não porque esses instrumentos determinem por si um acréscimo de melancolia, mas sim porque a presença deles revela a presença de novas exigências na alma humana, novas insatisfações, novos cansaços em busca de esquecimento.
O homem é um animal triste – eis uma frase que podemos adicionar sem brilho e sem desdoiro a centenas de afirmações semelhantes. Os sábados, por exemplo. Todos nós já vivemos muitos domingos. Sabemos que nada acontecerá e que nenhum milagre nos espera. Mas chega o dia de sábado e somos levados na corrente enganosa. O sábado é um dia essencialmente infiel e mentiroso. Promete absurdos. Deixa na gente uma expectativa, uma apreensão nervosa que demora a encontrar o caminho do sono. A noite de sábado é um túnel. Mas chega o domingo, sem alumbramentos, as mesmas caras, as mesmas decepções, a mesma vontade de tomar um trem ou um navio e essa consciência lúcida de sentir a inutilidade dos gestos.
Às vezes, arriscamos mais. Alguma coisa inexprimível e fatigada nos conduz a uma festa. Não vamos: somos levados. Há infalivelmente uma pessoa que não está. A dolência de um blues nos invade sub-reptícia, descolando as paredes de nossa alma, umedecendo de romantismo as dobras de nossa alma. Vem uma vontade grande de beber qualquer coisa forte. Daremos um berro? Diremos para a senhorinha que está ao nosso lado: ‘Não, senhorinha, não estou dizendo propriamente que o filme de Esther Williams foi ótimo; quis dizer somente que não vale a pena, ouviu; que o mundo vai mal, os homens vão bem e eu vou como posso’? Não, não diremos. Sorriremos com uma precisão matemática que assustaria nossos amigos íntimos.
Teremos todas as respostas e perguntas devidamente catalogadas no bolso, sem certo ar de indiferença que assusta a nós mesmos, uns tímidos. Voltamos para casa. Os pés cansados, mas os pés importam pouco. O coração cansado. Isto já é mais grave. E, aos poucos, das massas turvas da nossa melancolia começa a escorrer uma sombra indigna que inunda a nossa vida inteira. Mais um domingo que nos traiu. A culpa, entretanto, é do sábado.
(“Professores de melancolia”, por Paulo Mendes Campos, com adaptações)
Provas
Leia atentamente o texto a seguir, escrito pelo cronista brasileiro Paulo Mendes Campos, para responder à questão.
Professores de melancolia
É bem possível, segundo já afirmaram, que a tristeza dos homens vá aumentando à medida que se inventem novos instrumentos de conforto. Não porque esses instrumentos determinem por si um acréscimo de melancolia, mas sim porque a presença deles revela a presença de novas exigências na alma humana, novas insatisfações, novos cansaços em busca de esquecimento.
O homem é um animal triste – eis uma frase que podemos adicionar sem brilho e sem desdoiro a centenas de afirmações semelhantes. Os sábados, por exemplo. Todos nós já vivemos muitos domingos. Sabemos que nada acontecerá e que nenhum milagre nos espera. Mas chega o dia de sábado e somos levados na corrente enganosa. O sábado é um dia essencialmente infiel e mentiroso. Promete absurdos. Deixa na gente uma expectativa, uma apreensão nervosa que demora a encontrar o caminho do sono. A noite de sábado é um túnel. Mas chega o domingo, sem alumbramentos, as mesmas caras, as mesmas decepções, a mesma vontade de tomar um trem ou um navio e essa consciência lúcida de sentir a inutilidade dos gestos.
Às vezes, arriscamos mais. Alguma coisa inexprimível e fatigada nos conduz a uma festa. Não vamos: somos levados. Há infalivelmente uma pessoa que não está. A dolência de um blues nos invade sub-reptícia, descolando as paredes de nossa alma, umedecendo de romantismo as dobras de nossa alma. Vem uma vontade grande de beber qualquer coisa forte. Daremos um berro? Diremos para a senhorinha que está ao nosso lado: ‘Não, senhorinha, não estou dizendo propriamente que o filme de Esther Williams foi ótimo; quis dizer somente que não vale a pena, ouviu; que o mundo vai mal, os homens vão bem e eu vou como posso’? Não, não diremos. Sorriremos com uma precisão matemática que assustaria nossos amigos íntimos.
Teremos todas as respostas e perguntas devidamente catalogadas no bolso, sem certo ar de indiferença que assusta a nós mesmos, uns tímidos. Voltamos para casa. Os pés cansados, mas os pés importam pouco. O coração cansado. Isto já é mais grave. E, aos poucos, das massas turvas da nossa melancolia começa a escorrer uma sombra indigna que inunda a nossa vida inteira. Mais um domingo que nos traiu. A culpa, entretanto, é do sábado.
(“Professores de melancolia”, por Paulo Mendes Campos, com adaptações)
Provas
Leia atentamente o texto a seguir, escrito pelo cronista brasileiro Paulo Mendes Campos, para responder à questão.
Professores de melancolia
É bem possível, segundo já afirmaram, que a tristeza dos homens vá aumentando à medida que se inventem novos instrumentos de conforto. Não porque esses instrumentos determinem por si um acréscimo de melancolia, mas sim porque a presença deles revela a presença de novas exigências na alma humana, novas insatisfações, novos cansaços em busca de esquecimento.
O homem é um animal triste – eis uma frase que podemos adicionar sem brilho e sem desdoiro a centenas de afirmações semelhantes. Os sábados, por exemplo. Todos nós já vivemos muitos domingos. Sabemos que nada acontecerá e que nenhum milagre nos espera. Mas chega o dia de sábado e somos levados na corrente enganosa. O sábado é um dia essencialmente infiel e mentiroso. Promete absurdos. Deixa na gente uma expectativa, uma apreensão nervosa que demora a encontrar o caminho do sono. A noite de sábado é um túnel. Mas chega o domingo, sem alumbramentos, as mesmas caras, as mesmas decepções, a mesma vontade de tomar um trem ou um navio e essa consciência lúcida de sentir a inutilidade dos gestos.
Às vezes, arriscamos mais. Alguma coisa inexprimível e fatigada nos conduz a uma festa. Não vamos: somos levados. Há infalivelmente uma pessoa que não está. A dolência de um blues nos invade sub-reptícia, descolando as paredes de nossa alma, umedecendo de romantismo as dobras de nossa alma. Vem uma vontade grande de beber qualquer coisa forte. Daremos um berro? Diremos para a senhorinha que está ao nosso lado: ‘Não, senhorinha, não estou dizendo propriamente que o filme de Esther Williams foi ótimo; quis dizer somente que não vale a pena, ouviu; que o mundo vai mal, os homens vão bem e eu vou como posso’? Não, não diremos. Sorriremos com uma precisão matemática que assustaria nossos amigos íntimos.
Teremos todas as respostas e perguntas devidamente catalogadas no bolso, sem certo ar de indiferença que assusta a nós mesmos, uns tímidos. Voltamos para casa. Os pés cansados, mas os pés importam pouco. O coração cansado. Isto já é mais grave. E, aos poucos, das massas turvas da nossa melancolia começa a escorrer uma sombra indigna que inunda a nossa vida inteira. Mais um domingo que nos traiu. A culpa, entretanto, é do sábado.
(“Professores de melancolia”, por Paulo Mendes Campos, com adaptações)
Provas
Leia atentamente o texto a seguir, escrito pelo cronista brasileiro Paulo Mendes Campos, para responder à questão.
Professores de melancolia
É bem possível, segundo já afirmaram, que a tristeza dos homens vá aumentando à medida que se inventem novos instrumentos de conforto. Não porque esses instrumentos determinem por si um acréscimo de melancolia, mas sim porque a presença deles revela a presença de novas exigências na alma humana, novas insatisfações, novos cansaços em busca de esquecimento.
O homem é um animal triste – eis uma frase que podemos adicionar sem brilho e sem desdoiro a centenas de afirmações semelhantes. Os sábados, por exemplo. Todos nós já vivemos muitos domingos. Sabemos que nada acontecerá e que nenhum milagre nos espera. Mas chega o dia de sábado e somos levados na corrente enganosa. O sábado é um dia essencialmente infiel e mentiroso. Promete absurdos. Deixa na gente uma expectativa, uma apreensão nervosa que demora a encontrar o caminho do sono. A noite de sábado é um túnel. Mas chega o domingo, sem alumbramentos, as mesmas caras, as mesmas decepções, a mesma vontade de tomar um trem ou um navio e essa consciência lúcida de sentir a inutilidade dos gestos.
Às vezes, arriscamos mais. Alguma coisa inexprimível e fatigada nos conduz a uma festa. Não vamos: somos levados. Há infalivelmente uma pessoa que não está. A dolência de um blues nos invade sub-reptícia, descolando as paredes de nossa alma, umedecendo de romantismo as dobras de nossa alma. Vem uma vontade grande de beber qualquer coisa forte. Daremos um berro? Diremos para a senhorinha que está ao nosso lado: ‘Não, senhorinha, não estou dizendo propriamente que o filme de Esther Williams foi ótimo; quis dizer somente que não vale a pena, ouviu; que o mundo vai mal, os homens vão bem e eu vou como posso’? Não, não diremos. Sorriremos com uma precisão matemática que assustaria nossos amigos íntimos.
Teremos todas as respostas e perguntas devidamente catalogadas no bolso, sem certo ar de indiferença que assusta a nós mesmos, uns tímidos. Voltamos para casa. Os pés cansados, mas os pés importam pouco. O coração cansado. Isto já é mais grave. E, aos poucos, das massas turvas da nossa melancolia começa a escorrer uma sombra indigna que inunda a nossa vida inteira. Mais um domingo que nos traiu. A culpa, entretanto, é do sábado.
(“Professores de melancolia”, por Paulo Mendes Campos, com adaptações)
Provas
Leia atentamente o texto a seguir, escrito pelo cronista brasileiro Paulo Mendes Campos, para responder à questão.
Professores de melancolia
É bem possível, segundo já afirmaram, que a tristeza dos homens vá aumentando à medida que se inventem novos instrumentos de conforto. Não porque esses instrumentos determinem por si um acréscimo de melancolia, mas sim porque a presença deles revela a presença de novas exigências na alma humana, novas insatisfações, novos cansaços em busca de esquecimento.
O homem é um animal triste – eis uma frase que podemos adicionar sem brilho e sem desdoiro a centenas de afirmações semelhantes. Os sábados, por exemplo. Todos nós já vivemos muitos domingos. Sabemos que nada acontecerá e que nenhum milagre nos espera. Mas chega o dia de sábado e somos levados na corrente enganosa. O sábado é um dia essencialmente infiel e mentiroso. Promete absurdos. Deixa na gente uma expectativa, uma apreensão nervosa que demora a encontrar o caminho do sono. A noite de sábado é um túnel. Mas chega o domingo, sem alumbramentos, as mesmas caras, as mesmas decepções, a mesma vontade de tomar um trem ou um navio e essa consciência lúcida de sentir a inutilidade dos gestos.
Às vezes, arriscamos mais. Alguma coisa inexprimível e fatigada nos conduz a uma festa. Não vamos: somos levados. Há infalivelmente uma pessoa que não está. A dolência de um blues nos invade sub-reptícia, descolando as paredes de nossa alma, umedecendo de romantismo as dobras de nossa alma. Vem uma vontade grande de beber qualquer coisa forte. Daremos um berro? Diremos para a senhorinha que está ao nosso lado: ‘Não, senhorinha, não estou dizendo propriamente que o filme de Esther Williams foi ótimo; quis dizer somente que não vale a pena, ouviu; que o mundo vai mal, os homens vão bem e eu vou como posso’? Não, não diremos. Sorriremos com uma precisão matemática que assustaria nossos amigos íntimos.
Teremos todas as respostas e perguntas devidamente catalogadas no bolso, sem certo ar de indiferença que assusta a nós mesmos, uns tímidos. Voltamos para casa. Os pés cansados, mas os pés importam pouco. O coração cansado. Isto já é mais grave. E, aos poucos, das massas turvas da nossa melancolia começa a escorrer uma sombra indigna que inunda a nossa vida inteira. Mais um domingo que nos traiu. A culpa, entretanto, é do sábado.
(“Professores de melancolia”, por Paulo Mendes Campos, com adaptações)
Provas
Leia atentamente o texto a seguir, escrito pelo cronista brasileiro Paulo Mendes Campos, para responder à questão.
Professores de melancolia
É bem possível, segundo já afirmaram, que a tristeza dos homens vá aumentando à medida que se inventem novos instrumentos de conforto. Não porque esses instrumentos determinem por si um acréscimo de melancolia, mas sim porque a presença deles revela a presença de novas exigências na alma humana, novas insatisfações, novos cansaços em busca de esquecimento.
O homem é um animal triste – eis uma frase que podemos adicionar sem brilho e sem desdoiro a centenas de afirmações semelhantes. Os sábados, por exemplo. Todos nós já vivemos muitos domingos. Sabemos que nada acontecerá e que nenhum milagre nos espera. Mas chega o dia de sábado e somos levados na corrente enganosa. O sábado é um dia essencialmente infiel e mentiroso. Promete absurdos. Deixa na gente uma expectativa, uma apreensão nervosa que demora a encontrar o caminho do sono. A noite de sábado é um túnel. Mas chega o domingo, sem alumbramentos, as mesmas caras, as mesmas decepções, a mesma vontade de tomar um trem ou um navio e essa consciência lúcida de sentir a inutilidade dos gestos.
Às vezes, arriscamos mais. Alguma coisa inexprimível e fatigada nos conduz a uma festa. Não vamos: somos levados. Há infalivelmente uma pessoa que não está. A dolência de um blues nos invade sub-reptícia, descolando as paredes de nossa alma, umedecendo de romantismo as dobras de nossa alma. Vem uma vontade grande de beber qualquer coisa forte. Daremos um berro? Diremos para a senhorinha que está ao nosso lado: ‘Não, senhorinha, não estou dizendo propriamente que o filme de Esther Williams foi ótimo; quis dizer somente que não vale a pena, ouviu; que o mundo vai mal, os homens vão bem e eu vou como posso’? Não, não diremos. Sorriremos com uma precisão matemática que assustaria nossos amigos íntimos.
Teremos todas as respostas e perguntas devidamente catalogadas no bolso, sem certo ar de indiferença que assusta a nós mesmos, uns tímidos. Voltamos para casa. Os pés cansados, mas os pés importam pouco. O coração cansado. Isto já é mais grave. E, aos poucos, das massas turvas da nossa melancolia começa a escorrer uma sombra indigna que inunda a nossa vida inteira. Mais um domingo que nos traiu. A culpa, entretanto, é do sábado.
(“Professores de melancolia”, por Paulo Mendes Campos, com adaptações)
Provas
Caderno Container