Foram encontradas 1.195 questões.
Um empreiteiro foi contratado para fazer uma
determinada obra. Ele disse à pessoa que o contratou
que a sua equipe composta por quinze homens fariam
a obra em dez dias. A pessoa disse que precisava da
obra pronta em seis dias. O empreiteiro fez os cálculos
e verificou que para cumprir o contrato precisaria de
Provas
Questão presente nas seguintes provas
As expressões numéricas são grupos numéricos
calculados por operações matemáticas (adição,
subtração, multiplicação, divisão, etc.) que seguem
determinadas ordens. Resolva a ex- pressão numérica
a seguir:
60 ÷ {2 × [−7 + 18 ÷ (−3 + 12)]} – [7 × (−3) –18 ÷ (−2) + 1] .
60 ÷ {2 × [−7 + 18 ÷ (−3 + 12)]} – [7 × (−3) –18 ÷ (−2) + 1] .
Provas
Questão presente nas seguintes provas
Ricardo presenteou seus três netos, Luca de 8 anos,
Sofia de 6 anos e Ravi de 2 anos, com a quantia de
R$480,00 dividida em partes diretamente
proporcionais a suas idades. A quantia recebida por
Sofia, em reais, foi:
Provas
Questão presente nas seguintes provas
O cálculo da energia elétrica consumida pelos aparelhos eletrodomésticos pode ser feito com base na potência, que é indicada na embalagem do aparelho, e no tempo em que cada um desses aparelhos permanece ligado, de modo que a energia elétrica consumida seja calculada em quilowatt- hora (kWh). Para fazer esse cálculo você vai dividir a potência por mil e depois multiplicar esse resultado pelo número total de horas de uso. Dizem que um “vilão” do consumo de energia é o chuveiro elétrico. Suponha que uma família seja composta por três pessoas e que cada uma delas toma dois banhos por dia e que cada banho dure 30 minutos. Suponha que a potência do chuveiro elétrico é 5.500W. Qual é a energia elétrica consumida por esta família, em quilowatt-hora (kWh), em 30 dias?
Provas
Questão presente nas seguintes provas
Antônio acompanhou seu avô até o armazém de construção para comprarem uma caixa d’água. Em lá chegando o avô de Antônio pediu uma caixa d’agua com capacidade de 2.000 litros. Antonio lembrando das aulas de Matemática perguntou ao avô: “Vô, você quantos metros cúbicos é equivalente a 2.000 litros de água?”. O avô de Antônio respondeu corretamente, então ele disse:
Provas
Questão presente nas seguintes provas
André possui um pequeno atelier onde
confecciona roupas. Com a aproximação do Ano Novo
as procuras por roupas na cor branca aumenta muito.
O atelier tem seis costureiras que conseguem, juntas,
confeccionar trinta vestidos em trinta dias
trabalhando oito horas por dia. André contrata mais
quatro costureiras com a mesma capacidade de
trabalho das anteriores. Dessa maneira, quantos
vestidos serão confeccionados por esses dez
costureiras, em trinta dias trabalhando oito horas por
dia?
Provas
Questão presente nas seguintes provas
O Prof. Jair começou a aula com um desafio. Ele
disse: “No quadro está representada uma
multiplicação de números reais. As letras a, b e c
representam algarismos de 0 a 9. Quanto vale a soma a
+ b + c?”. A multiplicação a qual Jair se referia está colocada abaixo:

O aluno Luis Fernando fez as contas e deu a resposta. Se Luis Fernando acertou o desafio, a resposta dele foi:

O aluno Luis Fernando fez as contas e deu a resposta. Se Luis Fernando acertou o desafio, a resposta dele foi:
Provas
Questão presente nas seguintes provas
Os pais de Letícia realizaram um desejo de fazer um
cruzeiro. Sérgio, o pai de Letícia, é professor de
Matemática e, ao chegar de viagem, lançou um
desafio para sua filha: “Os participantes de um
cruzeiro, que navegam em um navio com capacidade
máxima para 2.500 passageiros, podem ser divididos
em grupos com 7, 11, 33 e 70 pessoas, de modo que,
em cada divisão, ninguém fique sem grupo. O número de participantes desse cruzeiro é:”. Se Letícia acertou
a resposta, ela encontrou:
Provas
Questão presente nas seguintes provas
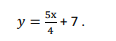
Existe uma relação entre o tamanho do pé de uma
pessoa, medido em centímetros, e o número do sapato
que ela calça. Se chamarmos o número do sapato de y e
o tamanho do pé de x, a fórmula que relacionará,
aproximadamente, essas duas grandezas é

Se uma pessoa tem um pé com o tamanho 28,8cm, o número do seu sapato á:
Se uma pessoa tem um pé com o tamanho 28,8cm, o número do seu sapato á:
Provas
Questão presente nas seguintes provas
Três navios atracaram juntos no porto de SUAPE
no dia 10 de agosto de 2023. O primeiro atraca nesse
porto a cada 6 dias; o segundo, a cada 7 dias, e o
terceiro, a cada 14 dias. Sabendo que o mês de agosto
tem 31 dias e o de setembro tem 30, os três navios
encontraram-se novamente no porto de SUAPE no dia:
Provas
Questão presente nas seguintes provas
Cadernos
Caderno Container