Magna Concursos

Foram encontradas 40 questões.

3790631 Ano: 2024
Disciplina: Estatística
Banca: UEPB
Orgão: Pref. Matinhas-PB
Considere um triângulo retângulo ABC com lados medindo a, b e c, sendo c > b > a >1. Sabe-se que o número a é igual à média geométrica dos números b e c.
 Logo, a área do triângulo ABC é igual à:
 

Provas

Questão presente nas seguintes provas
3790621 Ano: 2024
Disciplina: Raciocínio Lógico
Banca: UEPB
Orgão: Pref. Matinhas-PB
O professor Leibnilson aplicou uma atividade avaliativa em uma turma com 40 alunos. Todos os alunos fizeram essa atividade, e cada um deles respondeu as 4 questões da avaliação. Cada aluno ou acertou ou errou, totalmente, cada uma das questões. Cada questão valia 1 ponto.
Na aula anterior à entrega das avaliações corrigidas, o professor informou o seguinte:
● Aquantidade de alunos que acertou a primeira questão é múltipla de 3. ● Um terço dos alunos que acertou a primeira questão errou a quarta; esses foram os únicos alunos que erraram a quarta questão. ● Todos os alunos que acertaram a segunda questão erraram a terceira; esses foram os únicos alunos que erraram a terceira questão. ● Nenhum aluno acertou todas as questões.
Na aula seguinte, as avaliações foram entregues, e os alunos viram que a média da turma foi igual a 2,5 pontos.
É CORRETO concluir que:
 

Provas

Questão presente nas seguintes provas
3790604 Ano: 2024
Disciplina: Matemática
Banca: UEPB
Orgão: Pref. Matinhas-PB
Se Enunciado 4646047-1 com Enunciado 4646047-2 e sendo p e q números inteiros maiores do que 1 com mdc(p,q) = 1, então é CORRETO concluir que:
 

Provas

Questão presente nas seguintes provas
3790603 Ano: 2024
Disciplina: Matemática
Banca: UEPB
Orgão: Pref. Matinhas-PB

O enunciado a seguir deve ser usado para a questão.

O Professor Euclideson estava estudando o seguinte problema, conforme a figura abaixo: No semicírculo Γ de raio r = 2024 u.c. (unidades de comprimento) e centro O, traçam-se duas cordas AD e BC, cada uma das quais divide o semicírculo em duas regiões de mesma área. Essas cordas intersectam-se no ponto P. O ângulo θ é medido em radianos.

Enunciado 4646044-1

Não satisfeito, o Professor Euclideson introduziu um sistema cartesiano de coordenadas no plano de tal modo que O = (0,0), a semirreta Enunciado 4646044-2 coincidiu com o semieixo positivo dos x e a semirreta com início em O, perpendicular à reta Enunciado 4646044-3 e contida no mesmo semiplano que o semicírculo Γ com relação à reta Enunciado 4646044-4 coincidiu com o semieixo positivo dos y.

Nesse sistema, o ponto P tem coordenadas:

 

Provas

Questão presente nas seguintes provas
3790602 Ano: 2024
Disciplina: Matemática
Banca: UEPB
Orgão: Pref. Matinhas-PB

O enunciado a seguir deve ser usado para a questão.

O Professor Euclideson estava estudando o seguinte problema, conforme a figura abaixo: No semicírculo Γ de raio r = 2024 u.c. (unidades de comprimento) e centro O, traçam-se duas cordas AD e BC, cada uma das quais divide o semicírculo em duas regiões de mesma área. Essas cordas intersectam-se no ponto P. O ângulo θ é medido em radianos.

Enunciado 4646043-1

O número Enunciado 4646043-2 é igual a:
 

Provas

Questão presente nas seguintes provas
3790601 Ano: 2024
Disciplina: Matemática
Banca: UEPB
Orgão: Pref. Matinhas-PB
Sejam a, b e c as medidas dos lados de um triângulo ABC com ângulos internos Enunciado 4646042-1, opostos, nesta ordem, aos lados medindo a, b e c.
Se o gráfico da função Enunciado 4646042-2 dada por f(x) = c(x2 − 1) + 2bx + a(x2 + 1), toca o eixo x em exatamente um ponto. Denotando por X a raiz de f, é CORRETO afirmar que X-1 é igual a:
 

Provas

Questão presente nas seguintes provas
3790600 Ano: 2024
Disciplina: Matemática
Banca: UEPB
Orgão: Pref. Matinhas-PB

O enunciado a seguir deve ser usado para a questão.

Seja M o conjunto de todas as matrizes 3 × 3 cujas entradas são todas números inteiros satisfazendo as seguintes condições:

●Todas as entradas da primeira coluna são múltiplas de 2;

● Todas as entradas da segunda coluna são múltiplas de 3;

●Todas as entradas da terceira coluna são múltiplas de 5;

●Todas as entradas da primeira linha são múltiplas de 5;

●Todas as entradas da segunda linha são múltiplas de 3;

●Todas as entradas da terceira linha são múltiplos de 2.

Seja A uma matriz qualquer pertencente a M. Denotando por det(A) o determinante de A, é CORRETO afirmar que
 

Provas

Questão presente nas seguintes provas
3790599 Ano: 2024
Disciplina: Matemática
Banca: UEPB
Orgão: Pref. Matinhas-PB

O enunciado a seguir deve ser usado para a questão.

Seja M o conjunto de todas as matrizes 3 × 3 cujas entradas são todas números inteiros satisfazendo as seguintes condições:

●Todas as entradas da primeira coluna são múltiplas de 2;

● Todas as entradas da segunda coluna são múltiplas de 3;

●Todas as entradas da terceira coluna são múltiplas de 5;

●Todas as entradas da primeira linha são múltiplas de 5;

●Todas as entradas da segunda linha são múltiplas de 3;

●Todas as entradas da terceira linha são múltiplos de 2.

A respeito de uma matriz qualquer A= (aij M, é CORRETO concluir que:
 

Provas

Questão presente nas seguintes provas
3790598 Ano: 2024
Disciplina: Matemática
Banca: UEPB
Orgão: Pref. Matinhas-PB
Os pontos do plano complexo que representam as raízes complexas do polinômio p(z) = zn – 1 formam os vértices de um polígono cuja n área é igual a 3.
O valor de n é:
 

Provas

Questão presente nas seguintes provas
3790597 Ano: 2024
Disciplina: Matemática
Banca: UEPB
Orgão: Pref. Matinhas-PB

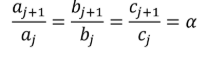
Seja T um conjunto de 2023 triângulos T1T 2 ,..., T 2023 no plano euclidiano, com a seguinte propriedade: existe uma constante real α, com 0 < α < 1, tal que, para todo j = 1, ..., 2022, os triângulos Tj e Tj+1 são semelhantes e

Enunciado 4646038-1

em que, em cada fração acima, o numerador é a medida de um lado de Tj+1 e o denominador é medida do lado correspondente de j+1 Tj .Denotando Sj a área de Tj , para cada j = 1 ,..., 2023, a soma

Enunciado 4646038-2

é igual a:

 

Provas

Questão presente nas seguintes provas