Foram encontradas 40 questões.
A Lei nº 14.133/2021 — Lei de Licitações e Contratos
Administrativos estabelece algumas regras para o processo
licitatório. Sobre a regra do processo licitatório, assinalar a
alternativa CORRETA:
Provas
Questão presente nas seguintes provas
A NBR 13570, em específico, estabelece os requisitos
para as instalações elétricas em locais de afluência de
público, onde há grande movimentação de pessoas. Salvo
nos locais em que a aplicação da norma independe da
capacidade de pessoas, essa norma contempla instalações
em locais que tenham afluência de público cuja capacidade
mínima é de:
Provas
Questão presente nas seguintes provas
A resposta em frequência de regime permanente dos
circuitos elétricos é importante em muitas aplicações,
especialmente em comunicações e sistemas de controle.
Uma aplicação específica é em filtros eletrônicos, os quais
bloqueiam ou eliminam sinais com frequências indesejadas e
passam os sinais com frequências desejadas. Uma maneira
sistemática de obter a resposta em frequência é por meio
da:
Provas
Questão presente nas seguintes provas
Após realizar uma medição, são verificados os erros
absolutos e relativos dessa medida. É CORRETO definir o
erro relativo como a relação entre o(a):
Provas
Questão presente nas seguintes provas
Assinalar a alternativa que se refere ao método gráfico
para a análise de sistemas, caracterizado no trecho abaixo:
Além de permitir, em muitos casos, o traçado de esboços das curvas de resposta em frequência de maneira simples e imediata (através de aproximações assintóticas), os gráficos logarítmicos têm a vantagem adicional de transformar produtos e divisões em somas e subtrações, respectivamente.
Além de permitir, em muitos casos, o traçado de esboços das curvas de resposta em frequência de maneira simples e imediata (através de aproximações assintóticas), os gráficos logarítmicos têm a vantagem adicional de transformar produtos e divisões em somas e subtrações, respectivamente.
Provas
Questão presente nas seguintes provas
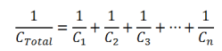
A equação abaixo é utilizada para calcular a:

Provas
Questão presente nas seguintes provas
Os três tipos principais de amortecimento aplicados aos
instrumentos elétricos de medição são por:
Provas
Questão presente nas seguintes provas
Com base na figura abaixo, considerando-se E como
tensão elétrica, medida em volts, e t como tempo, medido
em segundos, assinalar a alternativa que apresenta o tipo de
sinal que é verificado:


Provas
Questão presente nas seguintes provas
As prescrições da NBR 14039 buscam apresentar
recomendações que garantam instalações elétricas de média
tensão seguras, capazes de suportar as influências
ambientais, climáticas e mecânicas, garantindo o
fornecimento de energia dentro das necessidades que cada
sistema exige, com segurança e qualidade. A prescrição
sobre seccionamento e comando implica:
Provas
Questão presente nas seguintes provas
- Instalações Elétricas
- Normas TécnicasNBRsNBR 5419: Sistema de Proteção contra Descargas Atmosféricas
A NBR 5419, que dispõe sobre a proteção de estruturas
contra descargas atmosféricas, é uma norma técnica emitida
pela ABNT que reúne orientações e diretrizes a serem
aplicadas na criação, na instalação e na manutenção de
sistemas elétricos, com o objetivo de minimizar os impactos
causados por descargas atmosféricas. Dentro dos métodos
de proteção, o subsistema de captação com condutores em
malha ou gaiola é conhecido como:
Provas
Questão presente nas seguintes provas
Cadernos
Caderno Container