Magna Concursos

Foram encontradas 919 questões.

Assinale a alternativa que apresenta a denominação de uma passagem de parâmetro a um procedimento em que tal procedimento de um programa é chamado, recebendo a sua própria cópia dos parâmetros passados.
 

Provas

Questão presente nas seguintes provas
Relacione as colunas e assinale a alternativa com a sequência correta.
1. Inteiro. 2. Real. 3. Cadeia. 4. Lógicos.

(  ) Dados numéricos positivos ou negativos, exceto valor fracionário.

(  ) Caracteres delimitados por aspas representados por letras e símbolos.

(  ) Dados numéricos positivos ou negativos, incluindo valor fracionário.

(  ) Valores com dados binários.
 

Provas

Questão presente nas seguintes provas
Assinale a alternativa que apresenta o tempo de execução do pior caso e do melhor caso para o algoritmo quicksort ou ordenação rápida.
 

Provas

Questão presente nas seguintes provas
Quando uma estrutura de dados envolve a utilização de mais de um tipo básico de dado, denomina-se
 

Provas

Questão presente nas seguintes provas
Uma estrutura de dados representada por um arranjo bi ou multidimensional de alocação estática e sequencial é conhecida como
 

Provas

Questão presente nas seguintes provas
Os estereótipos são usados para classificar quase todos os elementos UML. Embora sejam na maioria opcionais, ajudam na compreensão dos diagramas, fornecendo um agrupamento de alto nível para elementos no diagrama. Sabendo disso, assinale a alternativa que apresenta, respectivamente, os ícones dos estereótipos de (1) fronteira ou visão, (2) controle e (3) entidade.
 

Provas

Questão presente nas seguintes provas
Um analista de sistemas necessita criar uma representação de um ator abstrato em um diagrama de caso de uso na UML (Unified Modelling Language). Assinale a alternativa que apresenta a representação dessa criação.
 

Provas

Questão presente nas seguintes provas

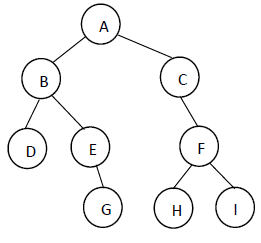
Analise a seguinte árvore binária e assinale a alternativa correta.


Enunciado 1944472-1

 

Provas

Questão presente nas seguintes provas
Considerando os aspectos básicos de um projeto Android, assinale a alternativa correta.
 

Provas

Questão presente nas seguintes provas
Sobre a classe R.java para desenvolvimento de aplicativos Android, é correto afirmar que
 

Provas

Questão presente nas seguintes provas