Foram encontradas 1.314 questões.
Os polissacarídeos amido e celulose são compostos por unidades de glicose, mas apresentam diferenças significativas
em sua estrutura e aplicação. Com base nisso, qual das alternativas a seguir descreve CORRETAMENTE uma
diferença entre o amido e a celulose?
Provas
Questão presente nas seguintes provas
O benzeno possui uma estabilidade especial devido ao seu sistema de seis elétrons π conjugados, o que faz com que ele
reaja de maneira característica. Considerando essa estabilidade, qual das alternativas a seguir explica
CORRETAMENTE por que o benzeno tende a sofrer reações de substituição em vez de reações de adição.
Provas
Questão presente nas seguintes provas
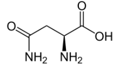
A asparagina é um dos vinte aminoácidos mais comuns no planeta Terra, sendo considerado não-essencial, ou seja, o
corpo humano pode sintetizá-lo a partir de outros compostos.
De acordo com sua fórmula estrutural abaixo, assinale a alternativa CORRETA.

De acordo com sua fórmula estrutural abaixo, assinale a alternativa CORRETA.

Provas
Questão presente nas seguintes provas
Qual das seguintes técnicas é a mais adequada para determinar a estrutura cristalina de sólidos, fornecendo
informações detalhadas sobre a disposição atômica e os parâmetros de rede?
Provas
Questão presente nas seguintes provas
Qual das seguintes situações é a mais adequada para o uso da operação unitária de absorção em um processo químico
industrial?
Provas
Questão presente nas seguintes provas
Uma coluna de destilação é utilizada para separar uma mistura binária de A e B, onde A é o componente mais volátil.
A alimentação da coluna possui uma vazão de 400 kg/h com uma composição de 50% em massa de A. A composição do
destilado é de 95% em massa de A, e a composição do resíduo é de 10% em massa de A.
Considerando que não há perda de massa no sistema e que a coluna opera em regime estacionário, qual é a fração aproximada de recuperação de A na corrente do destilado?
Considerando que não há perda de massa no sistema e que a coluna opera em regime estacionário, qual é a fração aproximada de recuperação de A na corrente do destilado?
Provas
Questão presente nas seguintes provas
Na cromatografia em fase gasosa (CG), a separação dos componentes de uma mistura é baseada, principalmente, no
seguinte fator:
Provas
Questão presente nas seguintes provas
Em um experimento de espectrofotometria UV-Vis, um químico analisa a concentração de uma substância que absorve
luz a 450 nm. A solução foi preparada em um comprimento de caminho (cubeta) de 1 cm e a leitura da absorbância foi
de 0,400. Sabendo que a lei de Beer-Lambert é válida e que o coeficiente de absorção molar (ε) da substância a 450 nm
é 1000 L·mol⁻¹·cm⁻¹, qual é a concentração da substância na solução, em mol/L?
Provas
Questão presente nas seguintes provas
O cálcio presente em uma amostra de 100 mL de água foi determinado por meio da precipitação de oxalato de cálcio
(CaC2O4). O precipitado foi filtrado, lavado e, em seguida, calcinado em um cadinho que tinha massa de 25,0001 g
quando vazio. Após a calcinação, a massa do cadinho contendo o óxido de cálcio (CaO) foi de 25,5608 g.
Qual é a concentração aproximada de cálcio (Ca) na água, em g/L?[
Dados: MM (Ca) = 40,07 g/mol MM (CaO) = 56,07 g/mol
Dados: MM (Ca) = 40,07 g/mol MM (CaO) = 56,07 g/mol
Provas
Questão presente nas seguintes provas
Suponha que sejam misturadas duas soluções aquosas de volumes iguais: uma contendo 0,2 M de nitrato de
chumbo(II) e a outra, 0,2 M de iodeto de potássio. Dado que o Kps do iodeto de chumbo(II) é 1,4 x 10–8 , analise as
proposições abaixo: A equação geral da reação após a mistura é:
I. Pb(NO3)2 (aq) + 2 KI (aq) ➔ 2 KNO3 (aq) + PbI2 (s)
II. A molaridade dos íons Pb2+(aq) e I – (aq) após a mistura continua a ser de 0,2 M.
III. Não haverá precipitação de PbI2 após a mistura.
Está CORRETO o que se afirma em
I. Pb(NO3)2 (aq) + 2 KI (aq) ➔ 2 KNO3 (aq) + PbI2 (s)
II. A molaridade dos íons Pb2+(aq) e I – (aq) após a mistura continua a ser de 0,2 M.
III. Não haverá precipitação de PbI2 após a mistura.
Está CORRETO o que se afirma em
Provas
Questão presente nas seguintes provas
Cadernos
Caderno Container