Foram encontradas 1.037 questões.
No estado fundamental de átomos com muitos elétrons, tais subpartículas ocupam orbitais atômicos de modo que a energia total do átomo seja a menor possível.
Dessa forma, é esperado que um calcogênio, em seu estado fundamental, possua a seguinte configuração eletrônica para sua camada de valência
Provas
O combustível sólido utilizado no foguete auxiliar de um ônibus espacial é uma mistura de perclorato de amônio e pó de alumínio. Quando essas substâncias reagem entre si uma enorme fumaça branca pode ser vista. Essa fumaça é resultante da alumina (óxido de alumínio sólido) formada no processo. São produzidos, ainda, como subprodutos, gás nitrogênio, cloreto de hidrogênio gasoso e vapor de água.
A soma dos menores inteiros que balanceiam corretamente a transformação descrita é igual a
Provas
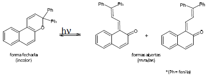
Os naftopiranos são uma classe de compostos fotocrômicos, que podem ser aplicados às lentes de óculos de sol para proteger nossos olhos contra o excesso de irradiação solar. A molécula de naftopirano absorve a energia da luz ultravioleta, provocando mudança em sua estrutura química (abertura do anel pirânico), o que leva ao escurecimento de lentes que possuem este material. Na ausência de luz o processo inverso ocorre e as lentes clareiam novamente. Um exemplo é descrito de forma simplificada na reação a seguir.

A propriedade exibida pelas formas abertas, que está descrita no texto, deve-se ao
Provas
Os gases nobres, apesar de pouco reativos, podem se combinar com outros átomos dando origem a substâncias químicas bastante estáveis. O xenônio, por exemplo, forma compostos como o XeF4, XeOF2 e XeOF4.
As geometrias moleculares apresentadas por esses compostos são, respectivamente, iguais a
Provas
Em 2018, arqueólogos descobriram na República Tcheca o que entendem ser o objeto de madeira mais antigo encontrado até então. A idade da peça arqueológica foi determinada através de datação por radiocarbono. Este radioisótopo possui tempo de meia-vida igual a 5600 anos e, em madeira viva, decai a uma taxa de 15,3 dpm (desintegrações por minuto). Na peça encontrada a taxa medida pelos pesquisadores foi de 6,1 dpm.
A idade do objeto descoberto, medido em anos, deve ser, aproximadamente, igual a
(Dado: log 2,5 = 0,4; log 2 = 0,3)
Provas
Os parâmetros cinéticos de uma reação química são de fundamental importância para a previsão da velocidade com que as transformações ocorrem. Sob condições específicas de temperatura e pressão, foram obtidos os dados apresentados na tabela a seguir para a seguinte transformação:
!$ 2IC \ell (g)+H_2(g) \rightarrow I_2(g)+HC \ell(g) !$
| Concentração inicial (mmol.L-1) | |||
| Experimento | !$ [IC \ell]0 !$ | !$ [H_2]0 !$ | Velocidade inicial (mol.L-1.s-1) |
| 1 | 1,5 | 1,5 | 3,7 x 10-7 |
| 2 | 3,0 | 1,5 | 7,4 x 10-7 |
| 3 | 3,0 | 4,5 | 2,2 x 10-6 |
Sob as mesmas condições reacionais, é possível prever que quando as concentrações iniciais de !$ IC \ell !$ e H2 forem, respectivamente, 5,0 e 1,2 mmol.L-1, a velocidade inicial da reação, em mol.L-1.s-1, será igual a
Provas
Analise o diagrama de energia a seguir que apresenta uma série de transformações químicas distintas.

A energia liberada, medida em kJ, na combustão completa de 11,0 g de propano é igual a
Provas
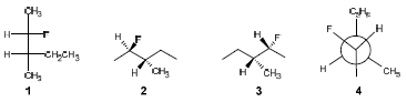
A estereoisomeria refere-se aos isômeros que possuem a mesma conectividade entre os átomos, mas cujo arranjo espacial é diferente.
Analise as quatro moléculas (1, 2, 3 e 4) apresentadas a seguir.

A partir das estruturas apresentadas, analise as afirmativas a seguir.
I. Os compostos 1 e 4 são enantiômeros.
II. Os compostos 2 e 3 são diasteroisômeros.
III. Os compostos 3 e 4 são idênticos.
Está correto o que se afirma em:
Provas
Gabriela é professora e costuma registrar os resultados das avaliações de seus alunos numa planilha eletrônica MS Excel. Uma amostra dessa planilha é exibida a seguir.

A amostra acima será usada na formulação da questão.
Na planilha de Gabriela, os ícones foram escolhidos e preenchidos automaticamente, de acordo com os valores da quarta coluna.
A fórmula presente na célula D4, na planilha de Gabriela, é necessariamente
Provas
O produto de dois números naturais é 96. Somando-se 5 unidades a um dos fatores o novo produto é 156.
A soma dos dois números é
Provas
Caderno Container