Magna Concursos

Foram encontradas 260 questões.

1726755 Ano: 2008
Disciplina: Matemática
Banca: CEPUERJ
Orgão: Pref. São Gonçalo-RJ
Provas:
Observe a seqüência de figuras a seguir.
enunciado 1726755-1
O número de bolinhas usadas na 28ª figura é:
 

Provas

Questão presente nas seguintes provas
1726754 Ano: 2008
Disciplina: Matemática
Banca: CEPUERJ
Orgão: Pref. São Gonçalo-RJ
Provas:

Antônio sacou R$1000,00 em dinheiro de seu cartão de crédito, que cobra uma taxa de 10% de juros ao mês. Um mês depois, fez um depósito de R$400,00 e, um mês depois desse, fez um segundo depósito de R$400,00. No mês seguinte, fez um terceiro depósito, liquidando a sua dívida. O valor do último depósito que Antônio realizou foi de:

 

Provas

Questão presente nas seguintes provas
1726753 Ano: 2008
Disciplina: Matemática
Banca: CEPUERJ
Orgão: Pref. São Gonçalo-RJ
Provas:
Considere uma calculadora com um número enorme de dígitos no visor e que só faz multiplicações. Dado um número a, o número mínimo de multiplicações que você deve fazer para calcular a37 é:
 

Provas

Questão presente nas seguintes provas
1726752 Ano: 2008
Disciplina: Matemática
Banca: CEPUERJ
Orgão: Pref. São Gonçalo-RJ
Provas:

Considere um número real x e faça com ele as seguintes operações sucessivas: multiplique por 4, depois some 31, em seguida divida por 3, multiplique por 5 e subtraia 23. Se o resultado foi 222, o valor de x é:

 

Provas

Questão presente nas seguintes provas
1726751 Ano: 2008
Disciplina: Matemática
Banca: CEPUERJ
Orgão: Pref. São Gonçalo-RJ
Provas:
Seja N o menor número de três algarismos com as características listadas abaixo.
- dividido por 2 deixa resto 1,
- dividido por 3 deixa resto 2,
- dividido por 4 deixa resto 3,
- dividido por 5 deixa resto 4, e
- dividido por 6 deixa resto 5.
Sendo assim, a soma dos algarismos de N é:
 

Provas

Questão presente nas seguintes provas
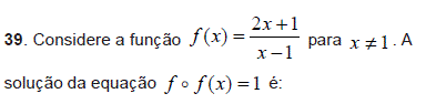
1726750 Ano: 2008
Disciplina: Matemática
Banca: CEPUERJ
Orgão: Pref. São Gonçalo-RJ
Provas:
enunciado 1726750-1
 

Provas

Questão presente nas seguintes provas
1726749 Ano: 2008
Disciplina: Matemática
Banca: CEPUERJ
Orgão: Pref. São Gonçalo-RJ
Provas:
enunciado 1726749-1
 

Provas

Questão presente nas seguintes provas
1726748 Ano: 2008
Disciplina: Matemática
Banca: CEPUERJ
Orgão: Pref. São Gonçalo-RJ
Provas:
Uma faculdade possui cursos de Administração e Economia. Analisando-se os dados dos candidatos ao vestibular do ano passado, verificou-se que:
• 80% do número total de candidatos optaram pelo curso de Administração.
• 70% do número total de candidatos eram do sexo masculino.
• 50% do número de candidatos que optaram por Economia eram do sexo masculino.
• 120 mulheres optaram por Economia.
O número de candidatos do sexo masculino que optaram por Administração foi:
 

Provas

Questão presente nas seguintes provas
1726747 Ano: 2008
Disciplina: Matemática
Banca: CEPUERJ
Orgão: Pref. São Gonçalo-RJ
Provas:
enunciado 1726747-1
 

Provas

Questão presente nas seguintes provas
1726746 Ano: 2008
Disciplina: Pedagogia
Banca: CEPUERJ
Orgão: Pref. São Gonçalo-RJ

A compreensão do contexto da Educação Física no ensino médio deve levar em conta o fato de que a grande maioria (em torno de 70%) dos alunos estuda no período noturno, segundo o INEP, 1998. Se a Lei de Diretrizes e Bases da Educação Nacional (LDBEN), 1996, faculta nos cursos noturnos (art. 26, § 3) a prática da Educação Física, por outro lado reforça a necessidade de sua integração à proposta pedagógica da escola. Assim, cabe ao professor de Educação Física propor:

 

Provas

Questão presente nas seguintes provas