Magna Concursos

Foram encontradas 340 questões.

3012760 Ano: 2023
Disciplina: Matemática
Banca: FGV
Orgão: Pref. São José dos Campos-SP
Provas:
A área delimitada pelo eixo das abscissas, pela reta x = π/3 e pelo gráfico da função real de variável real f(x) = xcosx vale
 

Provas

Questão presente nas seguintes provas
3012759 Ano: 2023
Disciplina: Matemática
Banca: FGV
Orgão: Pref. São José dos Campos-SP
Provas:
Com frequência, áreas de figuras planas de maior complexidade podem ser obtidas pela sua decomposição em figuras geométricas mais simples, cujas áreas são mais fáceis de calcular e pela composição dos resultados obtidos na etapa anterior.
A figura a seguir foi construída a partir de um quadrado ABCD que circunscreve um círculo. M, N, P e Q são os pontos em que o círculo tangencia os lados do quadrado e os arcos MN, NP, PQ e MQ medem 90°.

Enunciado 3463838-1


Sejam S1 e S2, respectivamente, as áreas do quadrado ABCD e do círculo que ele circunscreve. A área destacada na figura corresponde a
 

Provas

Questão presente nas seguintes provas
3012758 Ano: 2023
Disciplina: Raciocínio Lógico
Banca: FGV
Orgão: Pref. São José dos Campos-SP
Provas:
O aço inoxidável (aço inox) é uma liga metálica cuja composição contém níquel e cromo, sendo este o responsável pela resistência à corrosão.
No aço inox AISI 304, 18% de sua massa é cromo e 8%, níquel.
Em uma barra de aço AISI 304 com 1,5m de comprimento, a diferença entre as quantidades de cromo e de níquel é 1,86kg.
A massa dessa barra por metro de comprimento é
 

Provas

Questão presente nas seguintes provas
3012757 Ano: 2023
Disciplina: Raciocínio Lógico
Banca: FGV
Orgão: Pref. São José dos Campos-SP
Provas:
Em uma lanchonete há apenas um tipo de sanduíche, um tipo de suco, servido em copos, e porções de fritas.
Um sanduíche, dois copos de suco e três porções de fritas custam, juntos, R$ 19,80.
Um copo de suco, duas porções de fritas e três sanduíches custam, juntos, R$ 23,00.
Uma porção de fritas, dois sanduíches e três copos de sucos custam, juntos, R$ 20,80.
Todos os sanduíches têm o mesmo preço. Os copos de suco têm o mesmo valor, assim como as porções de fritas.
Com essas informações, pode-se concluir que um copo de suco, uma porção de fritas e um sanduíche, juntos, custam
 

Provas

Questão presente nas seguintes provas
3012756 Ano: 2023
Disciplina: Matemática
Banca: FGV
Orgão: Pref. São José dos Campos-SP
Provas:
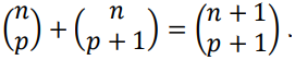
O valor de um número binomial Enunciado 3463835-1, com n ∈ ℕ, p ∈ ℕ e 0 ≤ p n, é dado por Enunciado 3463835-2. Uma consequência desse fato é que Enunciado 3463835-3 e Enunciado 3463835-4têm o mesmo valor. Outra consequência é que a somaEnunciado 3463835-5

A soma Enunciado 3463835-6 corresponde ao valor do número binomial

 

Provas

Questão presente nas seguintes provas
3012755 Ano: 2023
Disciplina: Matemática
Banca: FGV
Orgão: Pref. São José dos Campos-SP
Provas:
Em um triângulo ABC, M e N são, respectivamente, pontos sobre os lados BC e AC, tais que Enunciado 3463834-1 2

A razão Enunciado 3463834-2 vale
 

Provas

Questão presente nas seguintes provas
3012754 Ano: 2023
Disciplina: Matemática
Banca: FGV
Orgão: Pref. São José dos Campos-SP
Provas:
Qualquer que seja o número x ∈ ℝ, a expressão √(4 − x)2 tem sempre o mesmo valor que o da expressão
 

Provas

Questão presente nas seguintes provas
3012753 Ano: 2023
Disciplina: Matemática
Banca: FGV
Orgão: Pref. São José dos Campos-SP
Provas:
Um reservatório encontra-se vazio quando uma torneira T1 é aberta e passa a despejar água, em seu interior, a uma vazão constante. Mantidas essas condições, T1 levará 10 minutos para encher completamente o reservatório.
Entretanto, 4 minutos depois da abertura de T1, uma outra torneira, T2, de vazão também constante, é aberta de modo que as duas torneiras passam a despejar água simultaneamente no interior do reservatório, fazendo com que ele fique completamente cheio 1 minuto e 30 segundos depois do acionamento da segunda torneira.
A razão entre as vazões de T2 e T1 é igual a
 

Provas

Questão presente nas seguintes provas
3012752 Ano: 2023
Disciplina: Raciocínio Lógico
Banca: FGV
Orgão: Pref. São José dos Campos-SP
Provas:
Um carpinteiro produz peças de madeira maciça em forma de prisma reto. As peças fabricadas não são necessariamente iguais, pois as bases, ainda que sejam sempre quadradas, têm áreas que podem variar de 16cm2 a 484cm2.

Sejam x, x e 24 – x, respectivamente, as medidas, em cm, das arestas da base quadrada e da altura desses prismas.

Nessas condições, a peça de maior volume que o carpinteiro consegue produzir tem
 

Provas

Questão presente nas seguintes provas
O direito dos indígenas à terra está garantido na Constituição Federal de 1988, porém, sempre foi alvo de contestação, e é aí que entra a tese do Marco Temporal, como ficou conhecida a ação do Supremo Tribunal Federal (STF) que pretende discorrer sobre a reivindicação de posse de terras dos povos indígenas. Tal ação estabelece, por sua vez, que apenas teriam direitos sobre as terras aqueles que já as ocupassem no marco do dia 5 de outubro de 1988 – dia da promulgação da nossa mais recente Constituição Federal. Entretanto, as denominadas “Terras Indígenas” (TIs), as quais se refere o artigo 231 da Constituição, dizem respeito àquelas que são ocupadas por esses povos desde antes mesmo da configuração do estado brasileiro. Assim, são igualmente reconhecidos sua cultura e seus valores. Dessa maneira, o território reivindicado é de propriedade permanente dos indígenas, garantindo que usufruam, de maneira exclusiva, de seus bens. E é exatamente disso que se trata a tese de oposição: a tese do Indigenato.
https://www.politize.com.br/marco-temporal/

Sobre o conflito entre as legislações apresentadas, julgue os itens a seguir.
I. O indigenato consiste em um entendimento legislativo que compreende que os povos indígenas têm direito à terra como um direito originário, anterior à formação do próprio Estado.
II. O caso da tribo Xoklengs em SC serviu de base uma decisão pró Indigenato, pois a referida etnia sofreu grande extermínio, que se prolonga desde o período colonial, e teve que se deslocar de suas terras fugindo da dizimação por motivos exteriores às suas vontades.
III. Se aprovada, a Lei do Marco Temporal permitirá a continuidade da demarcação de terras ao estabelecer que os atores do agronegócio devem conviver de maneira harmoniosa com as comunidades indígenas, explorando apenas a seção ociosa das terras indígenas, sem afetar seu modo de vida.

Está correto o que se afirma em
 

Provas

Questão presente nas seguintes provas