Foram encontradas 280 questões.
Uma pessoa deseja construir uma “escolinha de futebol”, para isso adquiriu um terreno quadrado de lado x. Pretende construir uma pequena recepção, também quadrada, de lado 6m conforme indicado na figura a seguir, e o restante serão as quadradas de futebol.
Assinale a alternativa que melhor representa a área das quadras de futebol.

Provas
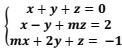
Dado o sistema
, qual é o valor de m para que esse sistema seja possível e
indeterminado?
Provas
Provas
Provas
Provas
Provas
Provas
Provas
Provas
Ficadas e rolos. (Adriane Schultz)
Você é completamente apaixonada por um garoto [...] e sabe que não existe mais a mínima chance de ficar com ele, mas mesmo assim não consegue ficar um minuto sem pensar nele... Você sabe que isso não é nada saudável, afinal ele não te quer! Mas... calma, a gente sabe como é estar nesta situação! Você sabe muito bem que não pode pensar nele, mas pensa, mesmo sem querer! Sabe por quê? A gente não manda no coração.
Apaixonar-se é fácil, mas esquecer é muuuuuito difícil! Depende bastante de um bom esforço da sua parte e, claro, de paciência para esperar o tempo curar as cicatrizes. A Atrê dá dicas que vão ajudar você a pensar cada vez menos no gato até esquecê-lo de vez, sendo ele ex-namorado, ex-ficante ou simplesmente uma paixão platônica!
1 - Mantenha distância.
É muito complicado esquecer alguém que você convive e conversa o tempo todo! Por isso, o importante, neste momento, é manter-se o mais distante que puder: [...] Também não precisa fingir que não o conhece e passar reto por ele. Se ele faz isso com você, não se rebaixe a ponto de fazer igual. Além disso, passar reto pode fazer com que ele pense que você está toda magoada e chateada com ele. Não se entregue! Saiba ser educada, mesmo que por dentro você esteja morrendo de raiva!
[...] Se pode evitar uma convivência, ótimo. Mas não deixe de ir a festas de amigos ou encontros da galera só porque ele vai estar presente. Não deixe de fazer as suas coisas por causa dele. Com certeza, esse cara não merece!
2 - Corte contatos.
[...] Proiba-se de perseguir o gato pelas redes sociais ou ficar iludida esperando uma mensagem dele! Leia esta matéria 1.000.000 de vezes quando estiver pensando em dar um pulinho na página dele para fuçar. Isso não faz bem para a saúde de nenhuma garota, ok?! Ninguém merece ver as fotos em que ele foi marcado, descobrir onde e com quem esteve no final de semana ou ver aqueles recadinhos bobos de meninas que possam estar afim dele! Poupe-se de passar nervoso e lembre-se de que, para esquecê-lo, precisa parar de saber da vida dele!
Se for preciso, bloqueie temporariamente o garoto no Facebook e MSN, ou saia por um tempinho das redes sociais. Assim, não vai ter chance de você saber que ele está on-line e sentir o coração disparar só de ver ele entrando no MSN.
3 - Distancie-se das lembranças, mas não as jogue no lixo!
[...] Você não precisa rasgar todas as fotos, nem jogar no lixo as cartas antigas ou os presentes que ele já te deu! Apenas, se distancie de tudo isso por um tempo, pois não vale a pena jogar nas recordações e passar horas chorando e pensando que tudo aquilo não irá voltar. Você não merece isso!
Se não conseguir parar de olhar fotos antigas, guarde todas as lembranças em uma caixa e peça a uma amiga que guarde na casa dela. Só peça a ela a caixa de volta depois de uns meses, quando se sentir mais tranquila, ok?
4 - Desabafe com as amigas.
[...] O ideal nessas horas é chorar e desabafar com as amigas! Depois disso, com certeza, seu coração vai ficar mais leve! Mas não deixe essa deprê tomar conta do seu dia a dia, ok? Programe uma sessão de cinema com as BFFs,(sigla derivada da expressão best friend forever, ou melhor amiga para sempre, em português) um passeio ao shopping ou até uma viagem rápida. Faça um esforço para manter sua mente ocupada. Recaídas acontecem! Não se sinta culpada se de repente acordar e sentir vontade de chorar...
Acontece!
5 - Viva sua vida!
Chegou a hora de olhar para si mesma! Resolva pendências, faça coisas que já estava para fazer há um tempo e deixou para depois... Dedique-se mais à escola, lendo livros e conversando com os colegas. Comece a prestar mais atenção naquele carinha que sempre te olhou diferente e você nunca deu bola! Quem sabe não vira romance?
(Fonte: SINGULAR E PLURAL - ENSINO FUNDAMENTAL II - 7º ANO - LEITURA, PRODUÇAO E ESTUDOS DE LINGUAGEM – Figueiredo, Laura de; GOULART, Shirley.)
Provas
Caderno Container