Foram encontradas 315 questões.
Considere o polígono da figura abaixo:

O número de diagonais presentes nesse polígono é igual a:
Provas
Um reservatório cilíndrico, conforme a figura abaixo, possui 5 metros de altura e 4 metros de diâmetro. Dessa forma, qual será o volume total de água, em litros, que esse reservatório é capaz de suportar?
Considere π = 3,14

Provas
Provas
Provas
Considere a imagem abaixo:

O valor de x é igual a:
Provas
Analise as afirmativas abaixo:
I- O ponto de encontro das medianas é o ortocentro.
II- O incentro é o ponto onde de encontro das bissetrizes de um triângulo.
III- Todo triângulo possui quatro mediatrizes que se encontram em um ponto denominado circuncentro.
IV- A altura é uma ceviana que parte de um vértice e faz 90° com o lado oposto ao mesmo.
V - A bissetriz parte de um vértice do triângulo e divide ao meio o ângulo referente a esse vértice.
Está(ão) correta(s) apenas a(s) afirmativa(s):
Provas
Provas
Provas
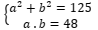
Considerado que a e b são números reais positivos, calcule o valor de (a – b)², sabendo-se que:
![]()
Provas
Analise as afirmativas abaixo:
I- Todo retângulo é um quadrado.
II- Nem todo paralelogramo é um trapézio.
III- Todo losango é um paralelogramo.
IV- Nem todo retângulo é um trapézio.
Está(ão) correta(s) a(s) afirmativa(s):
Provas
Caderno Container