Magna Concursos

Foram encontradas 584 questões.

1498654 Ano: 2007
Disciplina: Atualidades e Conhecimentos Gerais
Banca: MULT-SAI
Orgão: Pref. Tenente Laurentino Cruz-RN
Provas:

A festa do Padroeiro de Tenente Laurentino Cruz é comemorada no mês de:

 

Provas

Questão presente nas seguintes provas
1498653 Ano: 2007
Disciplina: Matemática
Banca: MULT-SAI
Orgão: Pref. Tenente Laurentino Cruz-RN
Provas:

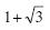
A equação enunciado 1498653-1 tem:

 

Provas

Questão presente nas seguintes provas
1498652 Ano: 2007
Disciplina: Matemática
Banca: MULT-SAI
Orgão: Pref. Tenente Laurentino Cruz-RN
Provas:

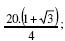
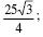
Sabendo-se que 1,098 32 é aproximadamente igual a 20. Qual dos valores abaixo está mais próximo do número:

5 3 . (1,098) 96 ?
 

Provas

Questão presente nas seguintes provas
1498651 Ano: 2007
Disciplina: Matemática
Banca: MULT-SAI
Orgão: Pref. Tenente Laurentino Cruz-RN
Provas:

Um círculo de área igual a 78,5 cm2, tem o seu raio igual ao lado de um triângulo eqüilátero, cuja área em cm2 equivale:

 

Provas

Questão presente nas seguintes provas
1498650 Ano: 2007
Disciplina: Matemática
Banca: MULT-SAI
Orgão: Pref. Tenente Laurentino Cruz-RN
Provas:

A sombra de um prédio num terreno plano, numa determinada hora do dia, mede 20m. Nesse mesmo instante, próximo ao prédio, a sombra de uma escada de altura 6m, mede 4m. A altura do prédio, em metros, é:

 

Provas

Questão presente nas seguintes provas
1498649 Ano: 2007
Disciplina: Matemática Financeira
Banca: MULT-SAI
Orgão: Pref. Tenente Laurentino Cruz-RN
Provas:

0,04% de 10.050 é equivalente a:

 

Provas

Questão presente nas seguintes provas
1498648 Ano: 2007
Disciplina: Matemática
Banca: MULT-SAI
Orgão: Pref. Tenente Laurentino Cruz-RN
Provas:

Num triângulo retângulo, a hipotenusa mede 20 e um dos ângulos agudos mede 30º. A soma das medidas dos catetos vale:

 

Provas

Questão presente nas seguintes provas
1498647 Ano: 2007
Disciplina: Matemática
Banca: MULT-SAI
Orgão: Pref. Tenente Laurentino Cruz-RN
Provas:

"Popó" possui dinheiro suficiente para comprar uma televisão de R$ 1.200,00, e ainda lhe sobram enunciado 1498647-1 da quantia inicial. O valor que "Popó" possuía inicialmente era de:

 

Provas

Questão presente nas seguintes provas
1498646 Ano: 2007
Disciplina: Português
Banca: MULT-SAI
Orgão: Pref. Tenente Laurentino Cruz-RN
Provas:

Leia, com atenção, o texto abaixo para responder às questões propostas.

enunciado 1498646-1

No período, o termo "espontâneas" exerce a função morfossintática de:

 

Provas

Questão presente nas seguintes provas
1498645 Ano: 2007
Disciplina: Português
Banca: MULT-SAI
Orgão: Pref. Tenente Laurentino Cruz-RN
Provas:

Leia, com atenção, o texto abaixo para responder às questões propostas.

enunciado 1498645-1

Observe o período abaixo, transcrito do texto, para responder às questões 6 e 7.

"As opiniões da rua são espontâneas e emocionadas, algumas talvez não resistissem a uma reflexão." A primeira oração do período apresenta:
 

Provas

Questão presente nas seguintes provas