Foram encontradas 50 questões.
Usando o site de pesquisas Google, um usuário precisa
realizar uma pesquisa pelo termo exato Companhia Prudentina de Desenvolvimento, mas excluindo dos resultados sites com o termo Concurso.
A forma correta de traduzir essas premissas para o site Google é:
A forma correta de traduzir essas premissas para o site Google é:
Provas
Questão presente nas seguintes provas
Tem-se a seguinte planilha criada no Microsoft Excel
2016, em sua configuração original.

A célula C2 contém a fórmula =SE(XXXXXXX; B2*5;B2*10), e XXXXXXX é uma condição. Assinale a alternativa que apresenta a condição representada por XXXXXXX

A célula C2 contém a fórmula =SE(XXXXXXX; B2*5;B2*10), e XXXXXXX é uma condição. Assinale a alternativa que apresenta a condição representada por XXXXXXX
Provas
Questão presente nas seguintes provas
Assinale a alternativa que apresenta um nome de arquivo válido no Microsoft Windows 10, em sua configuração
original.
Provas
Questão presente nas seguintes provas
Tem-se o seguinte documento criado no Microsoft Word 2016, em sua configuração padrão, com apenas 1 linha, em que o usuário selecionou essa linha por completo e configurou uma borda, a partir do grupo Parágrafo da guia Página Inicial.

Quando o usuário pressiona ENTER no final da linha e digita um texto na linha seguinte, e repete o mesmo procedimento mais uma vez, o resultado é:

Assinale a alternativa que apresenta o formato de borda utilizado para se obter esse resultado.
Provas
Questão presente nas seguintes provas
Um analista de recursos humanos estava em Modo de
Apresentação no Microsoft PowerPoint 2016, em sua
configuração original. Sua apresentação contém 8 slides,
sendo que o slide 1 está oculto. Considerando que o analista estava exibindo o slide 4, pressionou ESC e logo
em seguida pressionou SHIFT+F5, assinale a alternativa que apresenta o slide que será exibido no Modo de
Apresentação.
Provas
Questão presente nas seguintes provas
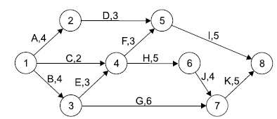
No cronograma de rede da figura, as atividades são representadas por letras, seguida de suas durações em dias. 
O tempo de execução dessa obra, em dias, é igual a

O tempo de execução dessa obra, em dias, é igual a
Provas
Questão presente nas seguintes provas
O comando do programa AutoCAD© que permite ajustar
a distância e o tamanho dos traços e pontos que compõem uma linha diferente da linha contínua é
Provas
Questão presente nas seguintes provas
Nas operações, uso e manutenção dos sistemas prediais
de água fria, que visam preservar a qualidade da água,
a limpeza dos reservatórios e a verificação do funcionamento de dispositivos de proteção contra refluxo devem
ser feitas, respectivamente, em periodicidade máxima
Provas
Questão presente nas seguintes provas
- Gerenciamento, Planejamento e Controle de Obras
- Orçamento no Planejamento e Controle de Obras na Engenharia Civil
Para a construção de um edifício, uma construtora contratou 40 operários, com capacidade de produção anual
de 40 m2
/operário. Considerando constante o custo unitário da construção em R$ 1.200,00/m2 e se o custo fixo
mensal da construtora é de R$ 15.000,00, então o custo
anual é igual a
Provas
Questão presente nas seguintes provas
- Gerenciamento, Planejamento e Controle de Obras
- Orçamento no Planejamento e Controle de Obras na Engenharia Civil
Na construção de uma edificação, os custos diretos totalizaram R$ 300.000,00, e os indiretos, R$ 30.000,00.
Se o lucro na venda foi de 12%, então o BDI percentual
praticado pela construtora foi igual a
Provas
Questão presente nas seguintes provas
Cadernos
Caderno Container