Magna Concursos

Foram encontradas 1.020 questões.

3693619 Ano: 2025
Disciplina: Raciocínio Lógico
Banca: VUNESP
Orgão: SEDUC-SP
Em seu livro A arte de resolver problemas, George Polya apresenta um Pequeno dicionário de heurística, que ocupa praticamente 75% das páginas do livro. Um dos “verbetes” de seu dicionário é a Sabedoria dos provérbios, em que afirma que “há muitos provérbios que caracterizam admiravelmente os procedimentos típicos seguidos na resolução de problemas, os aspectos de bom senso, os estratagemas e os erros habituais”.
Para cada uma das quatro fases no trabalho de resolução de um problema, conforme propostas por Polya, alguns provérbios foram citados, sendo que para a fase da Execução do plano um dos provérbios utilizados pelo autor foi
 

Provas

Questão presente nas seguintes provas
3693618 Ano: 2025
Disciplina: Matemática
Banca: VUNESP
Orgão: SEDUC-SP
No plano, quatro quadrados, cada um com 20 cm2 de área, foram desenhados de modo a terem vértices em comum, conforme mostra a figura. O ponto C e os vértices A e B dos quadrados determinam o triângulo retângulo ABC, cuja hipotenusa AC contém 3 vértices dos quadrados (o ponto A e mais dois outros).

Enunciado 3693618-1
A área do triângulo ABC é
 

Provas

Questão presente nas seguintes provas
3693617 Ano: 2025
Disciplina: Matemática
Banca: VUNESP
Orgão: SEDUC-SP
No plano cartesiano, a circunferência de equação x2 + y2 – 6x – 8y – 160 = 0 tem centro C e intersecta o semieixo positivo x no ponto A(16, 0). Sendo B(–8, 12) um ponto dessa circunferência, a área do triângulo ABC é
 

Provas

Questão presente nas seguintes provas
3693616 Ano: 2025
Disciplina: Matemática
Banca: VUNESP
Orgão: SEDUC-SP
Uma turma é formada por 24 alunos, entre eles os irmãos Tales e Teodoro. Esses 24 alunos serão divididos ao acaso em 6 grupos, cada grupo com 4 alunos.
A probabilidade de esses irmãos ficarem no mesmo grupo é
 

Provas

Questão presente nas seguintes provas
3693615 Ano: 2025
Disciplina: Matemática
Banca: VUNESP
Orgão: SEDUC-SP
No Livro C.Q.D., Gilberto Garbi apresenta a demonstração de vários teoremas e faz a construção de diversos elementos geométricos com régua e compasso. Considere a seguinte construção apresentada no capítulo VII, que parte de uma circunferência de centro O e raio R:
Trace-se um diâmetro qualquer AOB. Por O, trace-se o raio OP perpendicular a AOB. Seja M o ponto médio de OP. Una-se M a B e trace-se a circunferência de centro M e raio OM. Ela [a última circunferência desenhada] cruza MB no ponto N.
Considerando que o raio da circunferência de centro O tenha medida unitária, o segmento NB que se obtém a partir da construção apresentada tem medida igual a
 

Provas

Questão presente nas seguintes provas
3693614 Ano: 2025
Disciplina: Matemática
Banca: VUNESP
Orgão: SEDUC-SP
Uma composição foi feita com 21 retângulos, sendo um deles o retângulo R (o retângulo que tem a 10a maior área) e outro o quadrado Q (o retângulo de menor área). O lado menor de cada retângulo tem a mesma medida do lado do quadrado Q e, considerando as medidas, em cm, do lado do quadrado Q e dos lados maiores dos demais retângulos, essas formam uma progressão aritmética.

Enunciado 3693614-1

Sabendo que o lado maior do retângulo de maior área mede 25 cm e que a soma das áreas de todos os 21 retângulos é igual a 2.352 cm2 , o perímetro do retângulo R é
 

Provas

Questão presente nas seguintes provas
3693613 Ano: 2025
Disciplina: Matemática
Banca: VUNESP
Orgão: SEDUC-SP
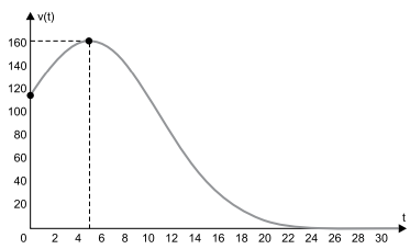
O número de visualizações de certo vídeo foi modelado pela função exponencial v(t) = C · 2 - (t - 5)2 / d , em que C e d são constantes reais, sendo v(t) o número de milhares de visualizações do vídeo t meses após seu lançamento.

Enunciado 3693613-1


No dia do lançamento, o vídeo foi assistido 113.137 vezes, o que foi modelado por v(0) = 80√2 e, t0 meses após seu lançamento, foi assistido 28.284 vezes.
Usando a aproximação √5 = 2,24 e v(t0 ) = 20√2, t0 é, aproximadamente, igual a
 

Provas

Questão presente nas seguintes provas
3693612 Ano: 2025
Disciplina: Raciocínio Lógico
Banca: VUNESP
Orgão: SEDUC-SP
Dois carrinhos correm lado a lado sobre uma pista retilínea, de uma extremidade a outra da pista, de maneira que, ao atingirem uma extremidade, invertem instantaneamente o sentido e correm para a extremidade oposta. As extremidades da pista são denominadas A e B, e cada carrinho percorre sempre uma mesma distância a cada segundo. Considere que o carrinho mais lento foi colocado na extremidade A, o carrinho mais rápido na extremidade B e que em seguida iniciaram seus movimentos. Quando os carrinhos se encontraram pela primeira vez, estavam a 20 dm da extremidade A e continuaram correndo de maneira que o carrinho mais rápido chegou à extremidade A, inverteu seu sentido, ultrapassou o carrinho mais lento e, quando chegou à extremidade B, o carrinho mais lento ainda estava a 14 dm de distância de B.
O comprimento dessa pista, em dm, está compreendido entre
 

Provas

Questão presente nas seguintes provas
3693611 Ano: 2025
Disciplina: Matemática
Banca: VUNESP
Orgão: SEDUC-SP
Sejam f, g e h funções reais sendo h(x) = x – 2. Definindo m(x) = f(g(h(x))), tal que D(m) = R\{2}, considere o esboço do gráfico de m dado a seguir.

Enunciado 3693611-1

As funções f e g podem corresponder, respectivamente, às funções
 

Provas

Questão presente nas seguintes provas
3693610 Ano: 2025
Disciplina: Pedagogia
Banca: VUNESP
Orgão: SEDUC-SP
Bruno D’Amore, no livro Elementos de Didática da Matemática, explora as ideias propostas por Guy Brousseau em sua Teoria das Situações Didáticas. Uma dessas ideias, juntamente com o contrato didático, formam os componentes de uma situação didática sobre certo tema relativo ao saber. D’Amore descreve essa ideia como um modelo teórico, de modo que “se em um ambiente organizado para a aprendizagem de determinado assunto falta a intenção didática explícita, tem-se uma situação ”.
Assinale a alternativa que completa corretamente a lacuna.
 

Provas

Questão presente nas seguintes provas