Foram encontradas 100 questões.
Assinale a alternativa que possui um exemplo de palavra esdrúxula. O(s) eventual(is) acento(s) foi (ram) omitido(s) propositadamente.
Provas
Questão presente nas seguintes provas
A palavra que destoa da regra de acentuação seguida pelas demais é:
Provas
Questão presente nas seguintes provas
No atual cenário mundial, uma pergunta é feita: África, qual é o seu papel na globalização? Com certeza é o da pobreza, miséria, fome, subnutrição. Junte-se a tudo isto, guerras civis e conflitos tribais, mais destruição ambiental, enchentes, secas e um ciclo interminável de doenças endêmicas.
Sobre os recentes fatos políticos e a realidade do continente africano, assinale a alternativa correta:
Sobre os recentes fatos políticos e a realidade do continente africano, assinale a alternativa correta:
Provas
Questão presente nas seguintes provas
O mundo já é urbano. Mas de 50% da população mundial vive nas cidades. E nas grandes cidades dos países subdesenvolvidos ou em desenvolvimento, como no Brasil. No nosso país este processo é marcante pois, de acordo com o censo 2010, 84% da população brasileira é urbana.
Sobre a urbanização brasileira, suas características e tendências podemos afirmar que:
I O fenômeno da urbanização dos países desenvolvidos e subdesenvolvidos está diretamente relacionados com o processo da industrialização.
II Nos países subdesenvolvidos, como no Brasil, o processo de urbanização se intensificou e acelerou após 1950, com a pressão demográfica de um lado e a industrialização criando novos empregos nas cidades, exercendo uma “atração fatal” para as áreas rurais. Isto está relacionado ao êxodo rural com um crescimento exagerado das cidades, o “inchaço urbano.”
III No processo de globalização e avanços tecnológicos, onde o setor que mais cresce é o terciário moderno, ou seja, serviços altamente especializados, surgem as chamadas cidades globais como Londres, Tóquio e Nova York. No Brasil, Rio de Janeiro e São Paulo são consideradas cidades globais.
IV A rede urbana brasileira apresenta-se com características e problemas comuns a quase todas as cidades, independentes do seu tamanho e a sua distribuição espacial pelo território nacional é marcantemente homogênea e desconcentrada.
V Com o crescimento das cidades, o setor de atividades econômicas que mais se desenvolveu foi o secundário, que oferece empregos no comércio, em empresas financeiras, universidades, centros médicos-hospitalares, centros de pesquisas científicas e tecnológicas.
Estão corretas as proposições:
Sobre a urbanização brasileira, suas características e tendências podemos afirmar que:
I O fenômeno da urbanização dos países desenvolvidos e subdesenvolvidos está diretamente relacionados com o processo da industrialização.
II Nos países subdesenvolvidos, como no Brasil, o processo de urbanização se intensificou e acelerou após 1950, com a pressão demográfica de um lado e a industrialização criando novos empregos nas cidades, exercendo uma “atração fatal” para as áreas rurais. Isto está relacionado ao êxodo rural com um crescimento exagerado das cidades, o “inchaço urbano.”
III No processo de globalização e avanços tecnológicos, onde o setor que mais cresce é o terciário moderno, ou seja, serviços altamente especializados, surgem as chamadas cidades globais como Londres, Tóquio e Nova York. No Brasil, Rio de Janeiro e São Paulo são consideradas cidades globais.
IV A rede urbana brasileira apresenta-se com características e problemas comuns a quase todas as cidades, independentes do seu tamanho e a sua distribuição espacial pelo território nacional é marcantemente homogênea e desconcentrada.
V Com o crescimento das cidades, o setor de atividades econômicas que mais se desenvolveu foi o secundário, que oferece empregos no comércio, em empresas financeiras, universidades, centros médicos-hospitalares, centros de pesquisas científicas e tecnológicas.
Estão corretas as proposições:
Provas
Questão presente nas seguintes provas
De acordo com o estatuído pelo Código de Processo Civil, é correto afirmar sobre recursos:
Provas
Questão presente nas seguintes provas
Analise as afirmações abaixo e assinale a alternativa correta, segundo o Código de Processo Civil:
Provas
Questão presente nas seguintes provas
A Constituição Federal dispõe que os servidores públicos titulares de cargos efetivos dos Estados serão aposentados voluntariamente, com proventos integrais, desde que tenham cumprido tempo mínimo dez anos de efetivo exercício no serviço público e cinco anos no cargo efetivo em que se dará a aposentadoria, e também atendam à seguintes condições:
Provas
Questão presente nas seguintes provas
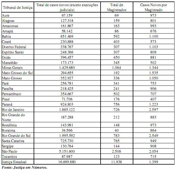
Os dados da tabela abaixo fazem parte do relatório Justiça em Números 2010, do Conselho Nacional de Justiça.

Com base nos dados fornecidos na tabela acima, assinale a alternativa correta:

Com base nos dados fornecidos na tabela acima, assinale a alternativa correta:
Provas
Questão presente nas seguintes provas
Os acentos, gráficos ou prosódicos, das palavras sequoia e anéis explicam-se, respectivamente, pelas regras:
Provas
Questão presente nas seguintes provas
Nos conjuntos a seguir, cujos acentos foram omitidos propositadamente, quando procedentes, aquele(s) que apresenta(m) vocábulos acentuados gráfica ou prosodicamente, pela mesma razão é (são):
I caos, lapis.
II ideia, corticoide.
III fez, gravidez.
IV carater, caracteres.
V hifen, hifens.
I caos, lapis.
II ideia, corticoide.
III fez, gravidez.
IV carater, caracteres.
V hifen, hifens.
Provas
Questão presente nas seguintes provas
Cadernos
Caderno Container