Magna Concursos

Foram encontradas 100 questões.

126428 Ano: 2011
Disciplina: Raciocínio Lógico
Banca: TJ-SC
Orgão: TJ-SC
Um investidor brasileiro compra US$ 20 000 dólares, faz a conversão dos dólares para reais (1 dólar = 1,60 real). Aplica os reais por um ano a uma taxa de 12% ao ano e, no resgate, converte os reais recebidos para dólares novamente (no ato da conversão, o dólar valorizou 5% em relação ao real do início da aplicação). Com os valores expressos em dólares, qual a taxa, aproximada, de lucro dessa aplicação?
Questão Anulada

Provas

Questão presente nas seguintes provas
126408 Ano: 2011
Disciplina: Matemática
Banca: TJ-SC
Orgão: TJ-SC
Feito uma pesquisa entre 600 alunos de uma escola sobre as vacinas que haviam tomado, obteve-se o seguinte resultado: 260 haviam recebido a vacina contra sarampo, 340 contra rubéola e 60 não haviam recebido nenhuma das duas vacinas. Tomando ao acaso um aluno dessa escola, qual a probabilidade dele ter tomado as duas vacinas?
Questão Anulada

Provas

Questão presente nas seguintes provas
126406 Ano: 2011
Disciplina: Matemática
Banca: TJ-SC
Orgão: TJ-SC
Um cofre possui um teclado com 10 números. A combinação que abre o cofre tem cinco números. Quantas tentativas mal sucedidas podem ser efetuadas por uma pessoa que desconheça a senha?
Questão Anulada

Provas

Questão presente nas seguintes provas
126393 Ano: 2011
Disciplina: Matemática
Banca: TJ-SC
Orgão: TJ-SC
Sabendo que enunciado 126393-2 123 = 2,09, assinale a alternativa que contém o valor de enunciado 126393-1 1,23.
Questão Anulada

Provas

Questão presente nas seguintes provas
126391 Ano: 2011
Disciplina: Matemática
Banca: TJ-SC
Orgão: TJ-SC
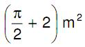
Na seguinte figura, estão representados um quadrado de lado medindo 8 metros, uma de suas diagonais e uma semicircunferência.

Assinale a alternativa que contém a área NÃO hachurada.

enunciado 126391-1
Questão Anulada

Provas

Questão presente nas seguintes provas
126390 Ano: 2011
Disciplina: Matemática
Banca: TJ-SC
Orgão: TJ-SC
Observe as proposições e assinale a alternativa que contém a(s) proposição(ões) verdadeira(s).

I Se enunciado 126390-1 é uma progressão aritmética com enunciado 126390-2

II Se enunciado 126390-3é uma progressão geométrica com enunciado 126390-4

III Se (na) é uma progressão aritmética com enunciado 126390-5
Questão Anulada

Provas

Questão presente nas seguintes provas
126370 Ano: 2011
Disciplina: Português
Banca: TJ-SC
Orgão: TJ-SC
O vocábulo cujo número de letras é igual ao número de fonemas está na alternativa:
Questão Anulada

Provas

Questão presente nas seguintes provas
126341 Ano: 2011
Disciplina: Português
Banca: TJ-SC
Orgão: TJ-SC
Está correta a grafia de todas as palavras nas frases, EXCETO em:
Questão Anulada

Provas

Questão presente nas seguintes provas
126334 Ano: 2011
Disciplina: Português
Banca: TJ-SC
Orgão: TJ-SC
Assinale a alternativa em que houve ERRO quanto à substituição do pronome pessoal oblíquo.
Questão Anulada

Provas

Questão presente nas seguintes provas
126329 Ano: 2011
Disciplina: Português
Banca: TJ-SC
Orgão: TJ-SC
Assinale a série em que todas as palavras estão grafadas corretamente.
Questão Anulada

Provas

Questão presente nas seguintes provas