Foram encontradas 709 questões.
Termelétrica que funciona com gás, diesel ou gasolina, instalada em hospitais, shopping centers etc., cuja função é entrar em
operação apenas quando há falta de energia elétrica. Trata-se de um
Provas
Questão presente nas seguintes provas
Um ambiente de um edifício tem as seguintes características:
− Térreo. − Área de uso comunitário. − Área úmida, com torneiras aquecidas eletricamente. − Tomadas sobre uma pia.
O projeto da instalação elétrica do edifício, para o circuito de tomadas sobre a pia, nas condições descritas anteriormente, deve prever os seguintes dispositivos de proteção:
− Térreo. − Área de uso comunitário. − Área úmida, com torneiras aquecidas eletricamente. − Tomadas sobre uma pia.
O projeto da instalação elétrica do edifício, para o circuito de tomadas sobre a pia, nas condições descritas anteriormente, deve prever os seguintes dispositivos de proteção:
Provas
Questão presente nas seguintes provas
- Circuitos ElétricosCircuitos CACircuitos Trifásicos
- Transformadores e Máquinas ElétricasMáquinas EstáticasTransformador de Potência
Considere as seguintes descrições de grau de proteção de transformadores trifásicos:
I. Protegido contra poeira e contra jatos d’água. II. Protegido contra objetos sólidos de diâmetro maior ou igual a 50 mm e contra gotas d’água caindo verticalmente. III. Protegido contra objetos sólidos de diâmetro maior ou igual a 2,5 mm e contra aspersão d’água.
Os IPs dos casos descritos são:
I. Protegido contra poeira e contra jatos d’água. II. Protegido contra objetos sólidos de diâmetro maior ou igual a 50 mm e contra gotas d’água caindo verticalmente. III. Protegido contra objetos sólidos de diâmetro maior ou igual a 2,5 mm e contra aspersão d’água.
Os IPs dos casos descritos são:
Provas
Questão presente nas seguintes provas
Uma bomba d’água de 2 CV que opera com 380 V em tensão trifásica, 60 Hz, tem corrente nominal de 3,7 A e cos ϕ = 0,75. A
bomba trabalha com rendimento
Provas
Questão presente nas seguintes provas
Nos projetos das estruturas metálicas, deve-se evitar empoçamento progressivo de água nas coberturas. Para que não sejam
feitas verificações adicionais para evitar a possibilidade de colapso estrutural causado pelo peso próprio da água acumulada, a
inclinação mínima da cobertura deve ser de
Provas
Questão presente nas seguintes provas
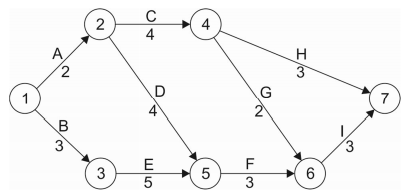
Considere planejamento de uma obra civil feito por meio do cronograma PERT-CPM, representado abaixo

Devido a uma série de problemas logísticos relativos à entrega de materiais o engenheiro pode contar com uma folga, no caminho das atividades A, C, H, sem atrasar a obra, em dias, de

Devido a uma série de problemas logísticos relativos à entrega de materiais o engenheiro pode contar com uma folga, no caminho das atividades A, C, H, sem atrasar a obra, em dias, de
Provas
Questão presente nas seguintes provas
- Gerenciamento, Planejamento e Controle de Obras
- Orçamento no Planejamento e Controle de Obras na Engenharia Civil
Um engenheiro necessitou orçar, para as fundações de uma residência térrea, 24 brocas de concreto com diâmetro de 30 cm,
incluindo os arranques de aço CA-50 com bitola de 10 mm, conforme a tabela de composição de custos unitários abaixo.

Considerando que cada broca tenha 6 m de comprimento, o custo da execução das brocas , em reais, é

Considerando que cada broca tenha 6 m de comprimento, o custo da execução das brocas , em reais, é
Provas
Questão presente nas seguintes provas
Para o projeto das instalações de água fria de uma residência foram consideradas as seguintes peças sanitárias, com seus
respectivos pesos relativos:

A vazão de água estimada, em litros por segundo, na tubulação que abastecerá essas peças, é

A vazão de água estimada, em litros por segundo, na tubulação que abastecerá essas peças, é
Provas
Questão presente nas seguintes provas
Considere a instalação elétrica de comando de uma lâmpada, composta por três interruptores.

Sobre o sistema de comando do circuito da instalação elétrica é correto afirmar:

Sobre o sistema de comando do circuito da instalação elétrica é correto afirmar:
Provas
Questão presente nas seguintes provas
Uma estrutura metálica foi construída com treliças de aço com 9 m de comprimento e 2 m de altura, como representada na figura
abaixo.

O aço utilizado possui módulo de elasticidade de 200 GPa. Se a área da seção transversal dos perfis de aço das diagonais for de 6,25 cm2, o encurtamento, em milímetros, da barra diagonal FG, é

O aço utilizado possui módulo de elasticidade de 200 GPa. Se a área da seção transversal dos perfis de aço das diagonais for de 6,25 cm2, o encurtamento, em milímetros, da barra diagonal FG, é
Provas
Questão presente nas seguintes provas
Cadernos
Caderno Container