Foram encontradas 94 questões.
Um determinado antibiótico é vendido na forma de pó. Para uso, deve ser misturado com água, conforme as indicações da bula
abaixo.

Com esse preparo, cada 5 mL da suspensão oral reconstituída terá 200 mg do princípio ativo desse antibiótico. Se, entretanto, uma pessoa adicionar 85 mL de água ao pó (em vez de 65 mL), então, a quantidade de miligramas do princípio ativo contida em 5 mL dessa suspensão oral passará a ser, aproximadamente, de

Com esse preparo, cada 5 mL da suspensão oral reconstituída terá 200 mg do princípio ativo desse antibiótico. Se, entretanto, uma pessoa adicionar 85 mL de água ao pó (em vez de 65 mL), então, a quantidade de miligramas do princípio ativo contida em 5 mL dessa suspensão oral passará a ser, aproximadamente, de
Provas
Questão presente nas seguintes provas
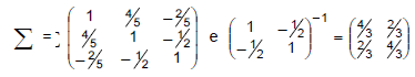
Seja a variável X = (X1,X2,X3) uma distribuição normal com média μ = (0,0,0) e matriz de covariância

O coeficiente de correlação entre X1 e (X2,X3) é dado por

O coeficiente de correlação entre X1 e (X2,X3) é dado por
Provas
Questão presente nas seguintes provas
Um brinquedo consiste em um dispositivo vertical, de formato aproximadamente triangular, tal como se vê na ilustração abaixo.
Uma bolinha é colocada na entrada superior do dispositivo (no local indicado pela seta) e pode percorrer qualquer caminho
descendente, por meio das canaletas diagonais representadas em cinza, até chegar a uma das oito caçapas inferiores.

Nesse brinquedo, a quantidade de caminhos que podem conduzir a bolinha da entrada até a 3a caçapa é

Nesse brinquedo, a quantidade de caminhos que podem conduzir a bolinha da entrada até a 3a caçapa é
Provas
Questão presente nas seguintes provas
Considere o processo de média móvel de ordem, MA(1) escrito da forma:
Xt = θ0 + εt + θ1εt − 1 para t = 1,2,3,... e εt uma sequência de variáveis aleatórias independentes e identicamente distribuídas com E(εt ) = 0 e var(εt ) = σ2.
A média e a variância de Xt são, respectivamente:
Provas
Questão presente nas seguintes provas
A nota de uma prova varia de 0 a 10 e é proporcional ao número de acertos obtidos em suas 30 questões, as quais admitem
apenas duas possibilidades: acerto ou erro. Ana, Bruno e Carol repararam que tiraram notas expressas por números inteiros e
que, somando as notas de Ana e Bruno, era obtida a nota de Carol.
Se Carol acertou metade da prova, então o número de questões que Ana acertou pode ser
Se Carol acertou metade da prova, então o número de questões que Ana acertou pode ser
Provas
Questão presente nas seguintes provas
Encontram-se respeitadas as normas de concordância em:
Provas
Questão presente nas seguintes provas
Quanto ...... origens do ruído, o pensador David le Breton ...... associa ao utilitarismo, com que se relaciona, por vezes, ......
racionalismo, que dispõe a experiência dos sentidos em segundo plano.
Preenche as lacunas da frase acima, correta e respectivamente, o que se encontra em:
Preenche as lacunas da frase acima, correta e respectivamente, o que se encontra em:
Provas
Questão presente nas seguintes provas
Atenção: Leia o texto abaixo para responder à questão.
Permita-me uma pergunta um tanto primária para começar: você defende o silêncio como forma de resistência, mas de
onde nasce o ruído? − Boa parte da nossa relação com o ruído procede do desenvolvimento tecnológico, especialmente em seu
caráter mais portátil: sempre carregamos sobre nós dispositivos que nos recordam que estamos conectados, que nos avisam quando
recebemos uma mensagem, que organizam os nossos horários com base no ruído. Esta circunstância veio incorporar-se às que já
haviam tomado forma no século XX como hábitos contrários ao silêncio, especialmente nas grandes cidades, governadas pelo
tráfego de veículos e por numerosas variedades de contaminação acústica. Neste contexto, o silêncio implica uma forma de
resistência, uma maneira para manter a salvo uma dimensão interior frente às agressões externas. O silêncio permite-nos ser
conscientes da conexão que mantemos com esse espaço interior, o silêncio a visibiliza, enquanto o ruído a esconde. Outra maneira
de nos conectarmos com o nosso interior é o caminhar, que transcorre no mesmo silêncio. O maior problema, provavelmente, é que a
comunicação eliminou os mecanismos próprios da conversação e se tornou altamente utilitarista com base nos dispositivos portáteis.
O que você responderia a quem sustentasse que o silêncio é uma confissão de ignorância? − O silêncio é a expressão
mais verdadeira e efetiva das coisas inomináveis. E a tomada de consciência de que há determinadas experiências para as quais a
linguagem não serve, ou que a linguagem não alcança, é um traço decisivo do conhecimento. Nesse sentido, tradições como a cristã,
em que o silêncio é muito importante, tornam-se reveladoras: a sabedoria dirige-se a compreender o que não se pode dizer, o que
transcende a linguagem. Nessa mesma tradição, o silêncio é uma via de aproximação de Deus, o que também se pode interpretar
como um conhecimento. Podemos utilizar o silêncio para nos conhecermos melhor, para nos distanciarmos do ruído. E este é um
valor a reivindicar no presente.
É por essa qualidade de resistência que se tacha de louco quem caminha sem rumo? Sim, é o que acontece. E por isso o
caminhar, como o silêncio, é uma forma de resistência política. No momento de sair de casa, de movimentar-se, você de imediato se
vê diante da interferência de critérios utilitaristas que evidenciam perfeitamente para onde você deve ir, por qual caminho e por qual
meio. Caminhar porque sim, eliminando da prática qualquer tipo de apreciação útil, com uma intenção decidida de contemplação,
implica uma resistência contra esse utilitarismo e, ocasionalmente, também contra o racionalismo, que é o seu principal benfeitor. A
marcha permite advertir como é bonita a Catedral, como é brincalhão o gato que se esconde por ali, as cores do pôr do sol, sem
qualquer finalidade, porque toda sua finalidade é esta: a contemplação do mundo. Frente a um utilitarismo que concebe o mundo
como um meio para a produção, o caminhante assimila o mundo que as cidades contêm como um fim em si mesmo. E isso, claro, é
contrário à lógica imperante. Daí a vinculação com a loucura.
(Entrevista de Pablo B. Málaga com David le Breton. Trad. de Sílvio Diogo. Disponível em: https://www.pensarcontemporaneo.com)
Provas
Questão presente nas seguintes provas
Atenção: Leia o texto abaixo para responder à questão.
Permita-me uma pergunta um tanto primária para começar: você defende o silêncio como forma de resistência, mas de
onde nasce o ruído? − Boa parte da nossa relação com o ruído procede do desenvolvimento tecnológico, especialmente em seu
caráter mais portátil: sempre carregamos sobre nós dispositivos que nos recordam que estamos conectados, que nos avisam quando
recebemos uma mensagem, que organizam os nossos horários com base no ruído. Esta circunstância veio incorporar-se às que já
haviam tomado forma no século XX como hábitos contrários ao silêncio, especialmente nas grandes cidades, governadas pelo
tráfego de veículos e por numerosas variedades de contaminação acústica. Neste contexto, o silêncio implica uma forma de
resistência, uma maneira para manter a salvo uma dimensão interior frente às agressões externas. O silêncio permite-nos ser
conscientes da conexão que mantemos com esse espaço interior, o silêncio a visibiliza, enquanto o ruído a esconde. Outra maneira
de nos conectarmos com o nosso interior é o caminhar, que transcorre no mesmo silêncio. O maior problema, provavelmente, é que a
comunicação eliminou os mecanismos próprios da conversação e se tornou altamente utilitarista com base nos dispositivos portáteis.
O que você responderia a quem sustentasse que o silêncio é uma confissão de ignorância? − O silêncio é a expressão
mais verdadeira e efetiva das coisas inomináveis. E a tomada de consciência de que há determinadas experiências para as quais a
linguagem não serve, ou que a linguagem não alcança, é um traço decisivo do conhecimento. Nesse sentido, tradições como a cristã,
em que o silêncio é muito importante, tornam-se reveladoras: a sabedoria dirige-se a compreender o que não se pode dizer, o que
transcende a linguagem. Nessa mesma tradição, o silêncio é uma via de aproximação de Deus, o que também se pode interpretar
como um conhecimento. Podemos utilizar o silêncio para nos conhecermos melhor, para nos distanciarmos do ruído. E este é um
valor a reivindicar no presente.
É por essa qualidade de resistência que se tacha de louco quem caminha sem rumo? Sim, é o que acontece. E por isso o
caminhar, como o silêncio, é uma forma de resistência política. No momento de sair de casa, de movimentar-se, você de imediato se
vê diante da interferência de critérios utilitaristas que evidenciam perfeitamente para onde você deve ir, por qual caminho e por qual
meio. Caminhar porque sim, eliminando da prática qualquer tipo de apreciação útil, com uma intenção decidida de contemplação,
implica uma resistência contra esse utilitarismo e, ocasionalmente, também contra o racionalismo, que é o seu principal benfeitor. A
marcha permite advertir como é bonita a Catedral, como é brincalhão o gato que se esconde por ali, as cores do pôr do sol, sem
qualquer finalidade, porque toda sua finalidade é esta: a contemplação do mundo. Frente a um utilitarismo que concebe o mundo
como um meio para a produção, o caminhante assimila o mundo que as cidades contêm como um fim em si mesmo. E isso, claro, é
contrário à lógica imperante. Daí a vinculação com a loucura.
(Entrevista de Pablo B. Málaga com David le Breton. Trad. de Sílvio Diogo. Disponível em: https://www.pensarcontemporaneo.com)
Adequando-se a frase acima ao mesmo nível de formalidade das demais respostas de David le Breton, a redação resultante encontra-se em:
Provas
Questão presente nas seguintes provas
Atenção: Leia o texto abaixo para responder à questão.
Permita-me uma pergunta um tanto primária para começar: você defende o silêncio como forma de resistência, mas de
onde nasce o ruído? − Boa parte da nossa relação com o ruído procede do desenvolvimento tecnológico, especialmente em seu
caráter mais portátil: sempre carregamos sobre nós dispositivos que nos recordam que estamos conectados, que nos avisam quando
recebemos uma mensagem, que organizam os nossos horários com base no ruído. Esta circunstância veio incorporar-se às que já
haviam tomado forma no século XX como hábitos contrários ao silêncio, especialmente nas grandes cidades, governadas pelo
tráfego de veículos e por numerosas variedades de contaminação acústica. Neste contexto, o silêncio implica uma forma de
resistência, uma maneira para manter a salvo uma dimensão interior frente às agressões externas. O silêncio permite-nos ser
conscientes da conexão que mantemos com esse espaço interior, o silêncio a visibiliza, enquanto o ruído a esconde. Outra maneira
de nos conectarmos com o nosso interior é o caminhar, que transcorre no mesmo silêncio. O maior problema, provavelmente, é que a
comunicação eliminou os mecanismos próprios da conversação e se tornou altamente utilitarista com base nos dispositivos portáteis.
O que você responderia a quem sustentasse que o silêncio é uma confissão de ignorância? − O silêncio é a expressão
mais verdadeira e efetiva das coisas inomináveis. E a tomada de consciência de que há determinadas experiências para as quais a
linguagem não serve, ou que a linguagem não alcança, é um traço decisivo do conhecimento. Nesse sentido, tradições como a cristã,
em que o silêncio é muito importante, tornam-se reveladoras: a sabedoria dirige-se a compreender o que não se pode dizer, o que
transcende a linguagem. Nessa mesma tradição, o silêncio é uma via de aproximação de Deus, o que também se pode interpretar
como um conhecimento. Podemos utilizar o silêncio para nos conhecermos melhor, para nos distanciarmos do ruído. E este é um
valor a reivindicar no presente.
É por essa qualidade de resistência que se tacha de louco quem caminha sem rumo? Sim, é o que acontece. E por isso o
caminhar, como o silêncio, é uma forma de resistência política. No momento de sair de casa, de movimentar-se, você de imediato se
vê diante da interferência de critérios utilitaristas que evidenciam perfeitamente para onde você deve ir, por qual caminho e por qual
meio. Caminhar porque sim, eliminando da prática qualquer tipo de apreciação útil, com uma intenção decidida de contemplação,
implica uma resistência contra esse utilitarismo e, ocasionalmente, também contra o racionalismo, que é o seu principal benfeitor. A
marcha permite advertir como é bonita a Catedral, como é brincalhão o gato que se esconde por ali, as cores do pôr do sol, sem
qualquer finalidade, porque toda sua finalidade é esta: a contemplação do mundo. Frente a um utilitarismo que concebe o mundo
como um meio para a produção, o caminhante assimila o mundo que as cidades contêm como um fim em si mesmo. E isso, claro, é
contrário à lógica imperante. Daí a vinculação com a loucura.
(Entrevista de Pablo B. Málaga com David le Breton. Trad. de Sílvio Diogo. Disponível em: https://www.pensarcontemporaneo.com)
A correta alteração do discurso direto para o indireto das frases acima, mantendo-se, em linhas gerais, o sentido, encontra-se em:
Provas
Questão presente nas seguintes provas
Cadernos
Caderno Container