Foram encontradas 120 questões.
- DevOps e CI/CDContêineresKubernetes
- DevOps e CI/CDContêineresOrquestração de Conteineres
- DevOps e CI/CDGitLab
- DevOps e CI/CDPipelines CI/CD
Nos projetos da Plataforma Digital do Poder Judiciário PDPJ-Br,
Provas
- CNJPortarias: CNJPortaria CNJ 252/2020: Modelo de Governança e Gestão da PDPJ-Br
- CNJPortarias: CNJPortaria CNJ 253/2020: Processo de Desenvolvimento na PDPJ-Br
A autenticação na Plataforma Digital do Poder Judiciário PDPJ-Br ocorre por meio de uma solução A, baseada em um aplicativo open source de gestão de identidades e acesso, denominado B, com base no protocolo C.
(Disponível em: https://docs.pdpj.jus.br)
De acordo com o texto acima, A, B e C são, correta e respectivamente:
Provas
O Fibre Channel
Provas
Disciplina: TI - Organização e Arquitetura dos Computadores
Banca: FCC
Orgão: TRT-19
É uma tecnologia usada no gerenciamento de armazenamento de dados que separa intencionalmente as funções responsáveis por provisionar capacidade, proteger dados e controlar o posicionamento de dados do hardware físico no qual os dados são armazenados. Com isto, torna-se possível que o hardware de armazenamento seja facilmente substituído, atualizado e expandido sem remover procedimentos operacionais ou descartar investimentos em software já realizados. Em sua forma mais versátil, as soluções baseadas nesta tecnologia ocultam particularidades de hardware proprietário por meio de uma camada de software de virtualização.
Ao contrário dos hypervisors, que fazem um único servidor parecer muitas máquinas virtuais, esta tecnologia combina diversos dispositivos de armazenamento em pools gerenciados centralmente.
(Disponível em: https://www.datacore.com)
O texto acima se refere a
Provas
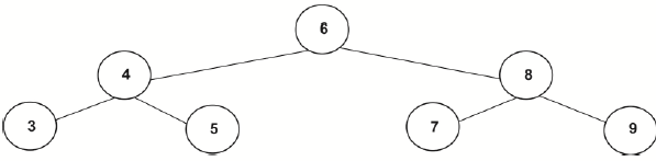
Considere a Árvore Binária de Pesquisa (ABP) abaixo.

Os elementos desta ABP serão armazenados em um vetor numerado de 1 a 7, seguindo estas regras:
a. a raiz sempre ficará na posição 1 do vetor;
b. um nó filho na subárvore esquerda receberá o dobro do valor da posição do seu pai; e
c. um nó filho na subárvore direita receberá o dobro do valor da posição de seu pai acrescido de 1.
O vetor resultante de 1 a 7 será, correta e respectivamente:
Provas
Considere os dados abaixo relativos a um método hashing.
| chave | hash (chave) |
| Carlos | 6 |
| Maria | 2 |
| Fernando | 6 |
| Luísa | 1 |
| Adriano | 1 |
| Jorge | 7 |
| Pedro | 2 |
| vetor | |
| 1 2 3 4 5 6 7 8 | Luísa |
| Maria | |
| Adriano | |
| Carlos | |
| Fernando | |
Com base no método apresentado acima e na sua continuação, é correto afirmar que
Provas
Disciplina: TI - Organização e Arquitetura dos Computadores
Banca: FCC
Orgão: TRT-19
Considere que um método de ordenação tenha seu desempenho baseado no número de comparações que realiza para ordenar um vetor com N elementos em ordem crescente. Este método apresenta o seguinte resultado no melhor caso (NCmelhor), no caso médio (NCmédio) e no pior caso (NCpior):
NCmelhor = N-1
NCmédio ≅ (N*(N-1))/4 - 1/2
NCpior ≅ (N*(N-1)-1)/2
Com base nestes resultados, é correto afirmar que o método
Provas
Disciplina: TI - Organização e Arquitetura dos Computadores
Banca: FCC
Orgão: TRT-19
Em um processador, o tempo T gasto no processamento de M instruções em um pipeline com K estágios, sendo M muito maior que K, e tempo de ciclo de máquina igual a t, é dado por: T = M * t.
Considere que programa tem 1.000.000 (M) de instruções. Em uma arquitetura sem pipeline, o tempo médio de execução de cada instrução (t1) é 6,5 ns. Nesta arquitetura, o tempo gasto no processamento das M instruções é: T1 = 6,5 ns * 1.000.000 ≅ 6,5 ms. O ganho (T1/T2) na execução deste programa em um processador com pipeline de 5 estágios com ciclo de 2 ns (t2) é:
Provas
Disciplina: TI - Organização e Arquitetura dos Computadores
Banca: FCC
Orgão: TRT-19
Os processadores utilizam, para realizar a aritmética computacional de números inteiros, a representação de ponto fixo. Considerando o número 1010, cuja representação binária com 8 bits é 00001010, é correto afirmar:
Provas
Disciplina: Legislação dos Tribunais do Trabalho (TST e TRTs)
Banca: FCC
Orgão: TRT-19
De acordo com o que estabelece o Regimento Interno do Tribunal Regional do Trabalho da 19a região, compete ao Presidente do Tribunal
Provas
Caderno Container