Foram encontradas 440 questões.
Provas
Alvenaria estrutural é um sistema de construção em que as paredes da edificação fazem a função estrutural, não sendo necessário o emprego de vigas e pilares para a sustentação do edifício, substituindo o método tradicional de concretagem. Com relação a esse sistema construtivo, pode-se afirmar que
I – os blocos de alvenaria estrutural podem ser de concreto ou cerâmica e são vazados na vertical, não possuindo fundo.
II – a alvenaria estrutural é caracterizada por não ser armada, mesmo para os edifícios altos, devido à capacidade portante dos blocos.
III – há custo reduzido em relação ao sistema convencional de vigas, pilares e lajes.
Estão corretos os itens
Provas
Provas

Provas

Provas
Ainda com relação à figura da questão anterior, uma viga de concreto armado foi dimensionada com resistência característica à compressão do concreto - fck de 35 MPa para trabalhar no domínio 3. No entanto, após a execução constatou-se que o fck obtido para o concreto foi de 20 MPa. Neste caso, pode-se concluir que a viga
Provas
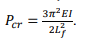
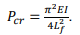
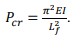
Considerando-se os domínios de dimensionamento na flexão simples para vigas de concreto armado, pode-se afirmar que,

Provas
Provas
Provas
Provas
Caderno Container