Foram encontradas 160 questões.
O etanoato de pentila ou, como é comercialmente conhecido, acetato de amila, é um líquido com odor agradável de banana. A reação orgânica da síntese do acetato de amila é uma reação de:
Provas
Para toda medida potenciométrica, além de um potenciômetro, são necessários dois eletrodos, um indicador sensível à concentração do analito e um de referência, cujo potencial permanece inalterado com a variação da concentração do analito.
Uma medida de pH com o uso de um pHmetro é o exemplo mais comum de uma análise potenciométrica. Nesse tipo de medida, os eletrodos indicador e de referência utilizados são, respectivamente:
Provas
Os minerais que podem ser interferentes na análise de Carbono Orgânico Total (COT) em rochas pela técnica de combustão em atmosfera de oxigênio são do seguinte tipo:
Provas
Para classificar a resistência dos minerais utiliza-se a escala de Mohs, que é nomeada de 1 a 10, em ordem crescente de dureza, baseada na dureza de minerais relativamente comuns. Na falta desses padrões utilizam-se alguns padrões secundários como, por exemplo, a lâmina de aço, que apresenta dureza entre 5 e 5,5.
Sendo assim, os minerais que são riscados pela lâmina de aço são:
Provas
No ensaio de reometria de placas paralelas, antes da colocação da amostra, é necessário primeiro zerar a distância (zero gap). Esse procedimento corresponde às placas paralelas se tocando e deve ser feito na seguinte condição:
Provas
A rosca de injeção é também denominada rosca recíproca pelo fato de:
Provas
No processo de injeção, a pressão de comutação pode ser definida como a passagem entre as seguintes pressões:
Provas
O comportamento mecânico dos polímeros é muito importante, porque define o campo de aplicação desses materiais. De acordo com o comportamento mecânico, os polímeros podem ser classificados em:
Provas
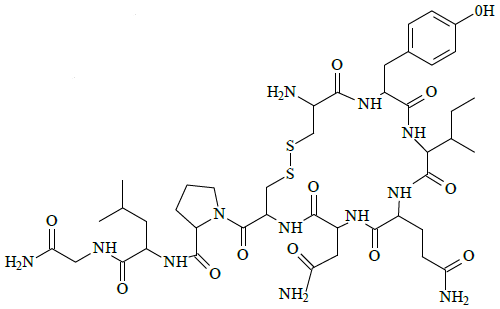
As proteínas são polímeros de aminoácidos que se ligam entre si por meio de ligações chamadas peptídicas. A ocitocina é um hormônio presente no corpo do homem e da mulher, popularmente conhecido como hormônio do amor.
Estrutura da Ocitocina

Com base na estrutura do peptídeo, é possível determinar que o número total de aminoácidos que formam a ocitocina é de:
Provas
A redução de granulometria de uma amostra é necessária para sua adequação a análises químicas posteriores. Para obtenção de amostras de granulometria de 60 mm utiliza-se o seguinte tipo de equipamento:
Provas
Caderno Container