Foram encontradas 60 questões.
Considere a seguinte distribuição de probabilidade:
\( f(x \mid λ)=2 λ x e^{-λ x^2} \)
Em uma amostra de tamanho n desta distribuição, qual é o estimador de máxima verossimilhança de \( λ \) ?
Provas
Questão presente nas seguintes provas
Ao fazer o ajuste do modelo de regressão, foi obtida a seguinte reta apresentada na figura
abaixo:

De acordo com a figura, os valores estimados do Intercepto (alpha) e coeficiente angular (beta) são dados respectivamente por

De acordo com a figura, os valores estimados do Intercepto (alpha) e coeficiente angular (beta) são dados respectivamente por
Provas
Questão presente nas seguintes provas
Considere a variável nível de glicose para as populações dos grupos “1” e “2” com boxplot dos
grupos dado pela figura abaixo:

São feitas 3 afirmações a respeito da distribuição da glicose
I) A distribuição do Grupo 1 tem o primeiro quartil maior do que a mediana do Grupo 2;
II) O Grupo 1 apresenta uma variabilidade maior do que o Grupo 2, se usarmos a distância interquartílica como medida de dispersão;
III) Não há valores discrepantes no Grupo 2.
Qual das alternativas está CORRETA?

São feitas 3 afirmações a respeito da distribuição da glicose
I) A distribuição do Grupo 1 tem o primeiro quartil maior do que a mediana do Grupo 2;
II) O Grupo 1 apresenta uma variabilidade maior do que o Grupo 2, se usarmos a distância interquartílica como medida de dispersão;
III) Não há valores discrepantes no Grupo 2.
Qual das alternativas está CORRETA?
Provas
Questão presente nas seguintes provas
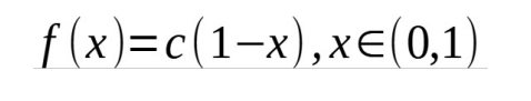
Considere uma função de distribuição com a seguinte densidade:

Com base nesta densidade, responda a questão
Provas
Questão presente nas seguintes provas
Considere uma função de distribuição com a seguinte densidade:

Com base nesta densidade, responda a questão
Provas
Questão presente nas seguintes provas
Em uma avenida, o número de carros que passam por minuto segue uma distribuição de
Poisson com média de 2 carros.
A probabilidade de passar mais do que dois carros por minuto é
A probabilidade de passar mais do que dois carros por minuto é
Provas
Questão presente nas seguintes provas
Com relação à classificação de tipos de variáveis, considere as variáveis: I) Faixa etária de um
indivíduo; e II) Número de pessoas que dão entrada em um hospital por hora.
Estas duas variáveis podem ser classificadas, respectivamente, como:
Estas duas variáveis podem ser classificadas, respectivamente, como:
Provas
Questão presente nas seguintes provas
Considere uma amostra de tamanho 8 de notas de alunos em uma disciplina. As notas dadas
aos alunos foram 5,7,4,8,9,6,7,10.
A média e a variância amostral das notas são dadas respectivamente por
A média e a variância amostral das notas são dadas respectivamente por
Provas
Questão presente nas seguintes provas
Suponha que toda vez que joga no Maracanã, a probabilidade de o Fluminense ganhar quando
chove é de 60%. Quando não chove, a probabilidade de vitória é de 80%. Considere também
que a probabilidade de chover na região do Maracanã em um dia é de 30%. Com base neste
enunciado, responda a questão.
Provas
Questão presente nas seguintes provas
Suponha que toda vez que joga no Maracanã, a probabilidade de o Fluminense ganhar quando
chove é de 60%. Quando não chove, a probabilidade de vitória é de 80%. Considere também
que a probabilidade de chover na região do Maracanã em um dia é de 30%. Com base neste
enunciado, responda a questão.
Provas
Questão presente nas seguintes provas
Cadernos
Caderno Container