Magna Concursos

Foram encontradas 183 questões.

3295475 Ano: 2024
Disciplina: Matemática
Banca: UniRV
Orgão: UniRV
Rafael compromete 20% do seu rendimento mensal com cartão de crédito. Se no mês de março ele recebeu um salário de R$ 2.400,00, pode-se afirmar que a fatura do seu cartão de crédito foi de:
 

Provas

Questão presente nas seguintes provas
3295474 Ano: 2024
Disciplina: Matemática
Banca: UniRV
Orgão: UniRV
Lucas tinha em sua conta bancária um saldo de negativo R$ 440,00 reais. Depositou R$ 760,00 e pagou no cartão de débito as seguintes contas: internet R$ 80,00 e combustível R$ 180,00. Depois de realizadas essas operações, qual é o saldo bancário na conta de Lucas?
 

Provas

Questão presente nas seguintes provas
3295473 Ano: 2024
Disciplina: Matemática
Banca: UniRV
Orgão: UniRV
Os funcionários do setor de engarrafamento de refringentes de uma fábrica, trabalhando 8 horas por dia, engarrafam 480 unidades. Qual é o tempo necessário para que a mesma quantidade de funcionários engarrafe 360 unidades de refrigerantes?
 

Provas

Questão presente nas seguintes provas
3295472 Ano: 2024
Disciplina: Matemática
Banca: UniRV
Orgão: UniRV
Provas:
Além de proporcionar oportunidades educativas, estudos científicos demonstram que visitas aos zoológicos são capazes de intensificar uma conexão dos visitantes com a natureza. Sara, uma fotógrafa profissional, ao visitar o parque aquático de um zoológico, tem a missão de fotografar um único animal do parque. Se no parque há 3 patos, 2 jacarés e 5 garças, qual é a probabilidade de que um pato ou uma garça sejam os escolhidos?
 

Provas

Questão presente nas seguintes provas
3295471 Ano: 2024
Disciplina: Matemática
Banca: UniRV
Orgão: UniRV
Provas:
Um bloco de concreto tem o formato de paralelepípedo de 60 cm de largura, 80 cm de comprimento e 110 cm de altura. Se dois terços desse sólido ficam submersos em água, podemos afirmar que o volume da parte emersa é igual a:
 

Provas

Questão presente nas seguintes provas
3295470 Ano: 2024
Disciplina: Matemática
Banca: UniRV
Orgão: UniRV
Provas:
Um brinquedo pula-pula (cama elástica), muito querido por crianças, tem o formato de uma circunferênciade diâmetro de 3 metros. Podemos afirmar que a área de lona necessária para uma cama elástica com essamedida é de: (considere π = 3,14)
 

Provas

Questão presente nas seguintes provas
3295469 Ano: 2024
Disciplina: Matemática
Banca: UniRV
Orgão: UniRV
Provas:
Na escolha de uma senha de segurança de uma conta bancária, formada por QUATRO dígitos distintos, é possível escolher entre os números 2, 3, 4, 5, 6 e 7. Qual é o número possível de senhas formadas com quatro algarismos distintos?
 

Provas

Questão presente nas seguintes provas
3295468 Ano: 2024
Disciplina: Matemática
Banca: UniRV
Orgão: UniRV
Provas:
Sabe-se que uma Progressão consiste em uma sequência que segue uma lei de formação. A quantidade de ovos botados pelas galinhas de uma granja em uma semana segue uma progressão geométrica. Na segunda-feira botaram 8 ovos na terça, 24; na quarta, 72, e assim por diante. Pode-se se afirmar que o número de ovos que as galinhas botaram no sábado é de:
 

Provas

Questão presente nas seguintes provas
3295467 Ano: 2024
Disciplina: Matemática
Banca: UniRV
Orgão: UniRV
Provas:

Considere o polinômio P(x) = x2 − 7/2 x + 3/2 , cujas raízes são p e k.

Os valores de p e k são, respectivamente:

 

Provas

Questão presente nas seguintes provas
3295466 Ano: 2024
Disciplina: Matemática
Banca: UniRV
Orgão: UniRV
Provas:

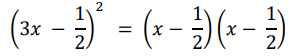
Das alternativas abaixo, qual apresenta o valor correto da operação?

Enunciado 3411931-1

 

Provas

Questão presente nas seguintes provas