Foram encontradas 40 questões.
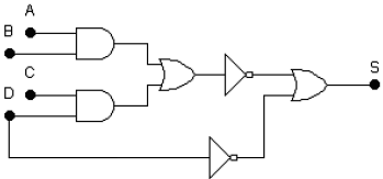
Considere o circuito a seguir:

Assinale a expressão lógica para o circuito.
Provas
Quanto às características de uma placa protoboard, assinale a alternativa INCORRETA.
Provas
Quanto a um transistor MOSFET do tipo depleção, analise as afirmações:
I) Dispositivo controlado por tensão.
II) Dispositivo controlado por corrente.
III) Canal entre D e S previamente formado.
IV) Elevada impedância de entrada.
V) Pontos de operação apenas com valores negativos de VGS.
Estão corretas apenas:
Provas
Considere no circuito a seguir: RB = 80 k!$ Ω !$, RC = 1 k!$ Ω !$, !$ β !$ = 100, VBE = 0,7 V, VBB = 5 V e VCC = 10 V.

Assinale a alternativa que apresenta, corretamente, os valores respectivos da corrente de base IB, da corrente de coletor IC e da tensão coletor-emissor VCE.
Provas
Para o circuito da figura abaixo, considere a primeira aproximação para o diodo de silício (VD = 0,7 V) e R = 1000 !$ \pi !$.

Considere a tabela.
| Diodos | Especificações |
| Modelo 1 |
IDMÁX=25mA, VR=70V |
|
Modelo 2 |
IDMÁX=30mA, VR=20V |
|
Modelo 3 |
IDMÁX=29mA, VR=30V |
Assinale a alternativa correta.
Provas
O diodo modelo OA9505 possui as seguintes características: IDMAX = 50 mA (corrente direta máxima), VD = 1,0 V (tensão direta típica) e VR = 115 V (tensão reversa máxima). Em relação à utilização desse diodo nos circuitos abaixo, assinale a alternativa correta.

Provas
Os Controladores Lógico Programáveis (CLP) podem ser programados em Ladder e, como um dispositivo digital microcontrolado, possui características conceituais de um sistema digital. Assim, dado o programa em Ladder apresentado a seguir:

Considere E1 e E2 como entradas digitais e S1 e S2 como saídas digitais de um CLP. Fazendo uma analogia com portas lógicas digitais, qual a sua equivalência para cada saída? Assinale a alternativa correta.
Provas
Sobre elementos de automação, considere as seguintes afirmativas.
I) Um CLP, Controlador Lógico Programável, pode ser aplicado como um dispositivo de automação de processos, levando em consideração as suas formas de programação, segundo a norma IEC 61.131-3.
II) Segundo a norma IEC 61.131-3, um CLP pode ser programado por um grafo sequencial (SFC), também denominado conceitualmente de GRAFCET.
III) Um CLP pode ser especificado de acordo com a quantidade de entradas e saídas, sendo elas digitais ou analógicas. I
V) Caso um CLP seja conectado em uma rede de comunicação industrial, este deixa de ser um dispositivo de automação e controle, passando a ser um dispositivo, exclusivamente, controlado por um mestre.
Estão corretas:
Provas
Analise a figura a seguir, referente a uma tela de osciloscópio, a qual ilustra um sinal senoidal de tensão.

Com base na figura, pode-se afirmar que o valor de pico da tensão, a frequência do sinal, o período do sinal e o valor eficaz são, respectivamente:
Provas
Uma unidade consumidora é alimentada por um transformador trifásico 13800V/220V, operando em sua capacidade nominal. Sendo a corrente absorvida pelo consumidor do lado de baixa tensão igual 118,1 A, assinale a alternativa que indica a potência trifásica nominal do transformador em kVA.
Provas
Caderno Container