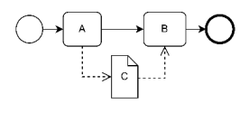
A analista de processos de negócio Ana está modelando as
entradas e saídas de dados de diversas atividades dos processos
do MPU com a notação BPMN, que permite uma comunicação
padronizada entre os participantes dos processos. Para isso, Ana
está utilizando associação de dados (Data Association) com a
seguinte representação.
Como consequência, os diagramas estão ficando muito grandes e visualmente poluídos, o que impacta a sua comunicação. No BPMN, para representar as mesmas relações de entrada e saída das atividades limpando o diagrama e reduzindo a poluição visual, Ana deve usar a notação:
Como consequência, os diagramas estão ficando muito grandes e visualmente poluídos, o que impacta a sua comunicação. No BPMN, para representar as mesmas relações de entrada e saída das atividades limpando o diagrama e reduzindo a poluição visual, Ana deve usar a notação:
Provas
Questão presente nas seguintes provas