Magna Concursos
1002901 Ano: 2013
Disciplina: Estatística
Banca: CESPE / CEBRASPE
Orgão: STF
Julgue o item seguinte , relativo à técnica de amostragem.

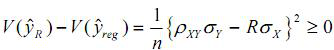
Considerando os estimadores enunciado 1002901-1 = média amostral; enunciado 1002901-2= estimador regressão para a média populacional e enunciado 1002901-3 = estimador razão para a média populacional, e sabendo que enunciado 1002901-4 e que enunciado 1002901-5 ,é correto afirmar que enunciado 1002901-6, somente se cov(X, Y ) < 0,5R V(X),em que R é a razão populacional entre e Y e X.
 

Provas

Questão presente nas seguintes provas

Analista Judiciário - Estatística

120 Questões