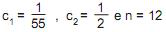
As variáveis aleatórias X1 , X2 , ...., X10 , são independentes e tais que Xk ~N(0,k), para k = 1, 2,..., 10, e Y1 e Y2 são duas variáveis aleatórias independentes com Yi ~N(2,1) para i = 1, 2.
Supondo que as variáveis Xk , k = 1, 2,..., 10, e Yi , i = 1, 2, sejam também independentes, e que a variável
W = c1 (X 1 + X2 + ... + X10 ) 2 + c2 (Y1 - Y2 ) 2
tem distribuição qui-quadrado com n graus de liberdade, quais os valores de c1 , c2 e n?
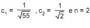
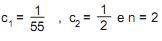
Supondo que as variáveis Xk , k = 1, 2,..., 10, e Yi , i = 1, 2, sejam também independentes, e que a variável
W = c1 (X 1 + X2 + ... + X10 ) 2 + c2 (Y1 - Y2 ) 2
tem distribuição qui-quadrado com n graus de liberdade, quais os valores de c1 , c2 e n?
Provas
Questão presente nas seguintes provas