
Considerando que a representação no espaço de estados de determinado sistema contínuo no tempo seja dada pelas relações acima, em que u(t) é o sinal de entrada e y(t), o sinal de saída, julgue os itens subsequentes.
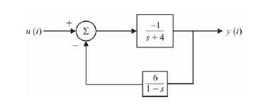
Em termos da relação entrada/saída, o referido sistema pode ser representado pelo diagrama de blocos a seguir, em que s representa a frequência complexa da transformada de Laplace.

Provas
Questão presente nas seguintes provas