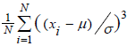
Considere os !$ N !$ valores da variável !$ x !$ que formam uma população finita e sejam
!$ \mu = {1 \over N} \sum \limits _{i=1} ^N x_i !$
!$ \sigma^2 = {1 \over N} \sum \limits _{i=1} ^N (x_i - \mu)^2 !$
!$ \sigma^2 = {1 \over N} \sum \limits _{i=1} ^N (x_i - \mu)^2 !$
seu momento de primeira ordem e momento de segunda ordem, centrado na média, respectivamente. Dessa maneira, a expressão


seria uma medida de qual característica da distribuição de !$ x !$ ?
Provas
Questão presente nas seguintes provas