- Gestão da Informação e ConhecimentoTecnologia e AdministraçãoSIG: Sistemas de Informações Gerenciais
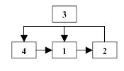
Considere o esquema abaixo como a representação básica dos componentes ou funções em um sistema de informação gerencial. As caixas numeradas representam:
