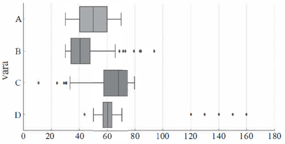
Em um estudo estatístico sobre o tempo médio de tramitação de processos judiciais em quatro varas cíveis de certo tribunal, considerou-se uma base de dados referentes ao tempo (em dias) de tramitação de 1.200 processos. A amostra foi estratificada por vara, e os dados foram tratados e analisados por meio de gráficos, tabelas e medidas descritivas, com o objetivo de identificar padrões, desvios e oportunidades de melhoria na gestão processual. A seguir, são apresentados diagramas boxplots elaborados para cada vara, bem como as medidas de tendência central, dispersão e curtose.

tempo de tramitação (dias)
| medida | vara A | vara B | vara C | vara D |
|---|---|---|---|---|
| média | 50 | 44 | 64 | 64 |
| mediana | 50 | 40,5 | 68 | 60 |
| desvio padrão | 12 | 13,5 | 14,5 | 18,5 |
| curtose | -1,2 | 2,0 | 1,7 | 16,0 |
Com base nessas informações, julgue os próximos itens.
Na vara B, o fato de a média ser superior à mediana, associado à curtose positiva, sugere que a distribuição dos tempos de tramitação possui cauda mais pesada à sua esquerda.