A representação de componentes de sistemas elétricos pode
ser realizada por meio de circuitos de duas portas, também
conhecidos como circuitos de dois terminais ou quadripolos.
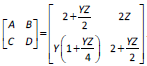
Para tanto, são definidos parâmetros ABCD que representam
a função de transferência do elemento no que se refere à
relação de entrada e saída de tensões e correntes. Em um
experimento envolvendo uma linha de transmissão e um
transformador, foram considerados os seguintes modelos e
parâmetros ABCD:


Considerando que, na linha de transmissão Y1 = Y2 = Y/2, sejam obtidos os parâmetros ABCD apresentados para cada elemento, julgue o item a seguir.
Os parâmetros ABCD obtidos após a interligação em cascata da linha de transmissão e do transformador serão iguais a
