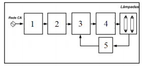
A figura a seguir apresenta os dados de um reator
eletrônico moderno para lâmpadas fluorescentes T5.

Observe o diagrama de blocos do tipo de reator apresentado anteriormente, considerando que os blocos numerados identificam as funções de controle, filtro ressonante, filtro EMI, inversor e retificador.
As funções que identificam os blocos de 1 a 5, nessa ordem, são:

Observe o diagrama de blocos do tipo de reator apresentado anteriormente, considerando que os blocos numerados identificam as funções de controle, filtro ressonante, filtro EMI, inversor e retificador.

As funções que identificam os blocos de 1 a 5, nessa ordem, são: