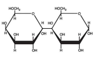
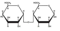
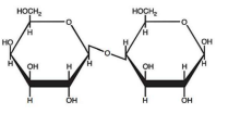
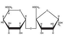
Os carboidratos são as moléculas orgânicas mais abundantes na natureza. São substâncias compostas por átomos de carbono (C), hidrogênio (H) e oxigênio (0), na proporção de 1:2:1. Os carboidratos são classificados de acordo com o número de monômeros que apresentam em monossacarídeos, dissacarídeos, oligossacarídeos e polissacarídeos. Nesse sentido, analise a estrutura abaixo:

Fonte: Nutrição moderna de Shils na saúde e na doença. - 11. ed. -Barueri, SP: Manole, 2016.
Os dissacarídeos são carboidratos compostos por dois monossacarídeos ligados. Os mais importantes são maltose, lactose e sacarose. Dentre as opções citadas abaixo, assinale a alternativa que corresponde a estrutura da maltose.