
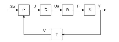
A figura acima mostra uma malha de controle típica em uma planta automatizada onde se necessita controlar uma variável do processo. Os elementos, representados pelos blocos, são: Planta (processo a ser controlado), Atuador, Sensor, CLP e driver de potência.
Os sinais presentes são assim descritos:
- Y é a variável a ser controlada;
- Sp é um sinal elétrico de referência que representa o valor desejado para Y;
- V é uma tensão elétrica proporcional a Y;
- U é um sinal elétrico de referência em função do erro entre Sp e V;
- Ua é o sinal U amplificado para compatibilizar a potência entre Q e R;
- F é uma grandeza física.
Os blocos, representados pelas letras P, Q, R, S, T da figura, são os elementos do sistema citados acima. O CLP é o elemento representado pela letra