Magna Concursos
1493820 Ano: 2006
Disciplina: Estatística
Banca: NCE-UFRJ
Orgão: AGU
Provas:
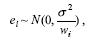
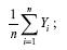
Considere o modelo linear dado por enunciado 1493820-1 com enunciado 1493820-2 , independentes, enunciado 1493820-3, não-aleatório. O estimador de máxima-verossimilhança de enunciado 1493820-4é:

 

Provas

Questão presente nas seguintes provas

Estatístico

100 Questões