A distribuição de Pareto é uma distribuição contínua assimétrica utilizada para modelar, por exemplo, a distribuição de
renda e outras variáveis financeiras. Se uma variável aleatória contínua X possui distribuição de Pareto, então sua função
densidade de probabilidade é dada por:

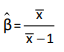
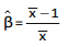
em que β > 1. Se uma amostra aleatória X1, X2, X3, ..., Xn de tamanho n for observada a partir da variável X, o estimador de momentos de β, denotado por FOTO, é dado por:

em que β > 1. Se uma amostra aleatória X1, X2, X3, ..., Xn de tamanho n for observada a partir da variável X, o estimador de momentos de β, denotado por FOTO, é dado por: