- Estatística DescritivaMedidas de Dispersão
- Estatística DescritivaMedidas de Tendência CentralQuartil, Decil e Percentil
- Estatística DescritivaMedidas de Tendência CentralBox Plot
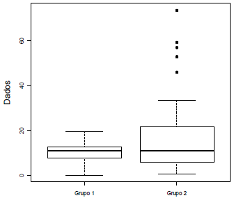
A figura apresenta dois gráficos de caixa (boxplots), que foram construídos a partir de dois conjuntos de dados diferentes. O quadro apresenta algumas estatísticas descritivas para quatro conjuntos de dados. A partir da análise dos gráficos da figura e das estatísticas descritivas no quadro, é possível associar cada um dos gráficos (grupos 1 e 2) a um dos conjuntos de dados (I, II, III ou IV). Observe.

|
Conjunto de Dados |
Primeiro quartil |
Mediana | Média |
Terceiro quartil |
| I | 7,6 | 10,8 | 10,3 | 12,7 |
| II | 6,0 | 11,0 | 15,0 | 21,7 |
| III | 6,0 | 11,0 | 7,0 | 21,7 |
| IV | 7,6 | 10,8 | 15,0 | 12,7 |
Assinale a associação correta.