Magna Concursos
305593 Ano: 2009
Disciplina: Estatística
Banca: FAEPESUL
Orgão: TJ-PR
Provas:

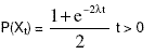
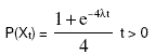
Suponha que na rodovia BR116, em uma determinada Praça de Pedágio, a chegada dos veículos no intervalo de tempo (0, t] ocorre segundo um Processo de Poisson. Assim, as chegadas representadas pela variável aleatória Xt seguem uma distribuição de Poisson com parâmetro lt. Então, é correto afirmar que:

 

Provas

Questão presente nas seguintes provas

Estatístico

80 Questões