Magna Concursos
488665 Ano: 2016
Disciplina: Ciências Atuariais
Banca: CESPE / CEBRASPE
Orgão: FUNPRESP-JUD
Provas:

No que se refere a rendas financeiras e rendas atuariais e a anuidades discretas e contínuas, julgue o item seguinte.

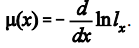
Se µ(x) é a força de mortalidade na idade x dentro da coorte e lx é a quantidade de pessoas vivas com x anos de idade, então enunciado 488665-1

 

Provas

Questão presente nas seguintes provas

Analista - Atuária

120 Questões