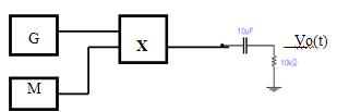
No diagrama em blocos a seguir "X" é um multiplicador ideal de quatro quadrantes de sinais e a reatância do capacitor é desprezível em relação à resistência do resistor.


No diagrama em blocos a seguir "X" é um multiplicador ideal de quatro quadrantes de sinais e a reatância do capacitor é desprezível em relação à resistência do resistor.

