Magna Concursos
1563643 Ano: 2006
Disciplina: Estatística
Banca: ESAF
Orgão: MPO
Provas:

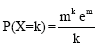
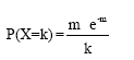
Uma variável aleatória X tem distribuição de Poisson, com parâmetro "m", e k = 0, 1, 2, 3...... se e somente se

 

Provas

Questão presente nas seguintes provas

Analista - Estatística

130 Questões