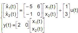
Um sistema dinâmico em malha fechada pode ser modelado sob a forma de espaço de estado através das seguintes equações:

As posições dos pólos no plano s da função de transferência deste sistema são

As posições dos pólos no plano s da função de transferência deste sistema são