Magna Concursos
256017 Ano: 2011
Disciplina: Engenharia de Telecomunicações
Banca: CESPE / CEBRASPE
Orgão: Correios
Considerando a transmissão de um sinal de áudio monofônico, cuja
largura de banda é igual a 15 kHz, julgue os seguintes itens.
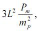
Considere que um quantizador uniforme propicie uma razão sinal-ruído de quantização dada por , em que RSR = Enunciado 256017-1 em que L é o número de níveis de quantização, Enunciado 256017-2 a potência do sinal e Enunciado 256017-3 a amplitude de pico do sinal, e que as amplitudes absolutas do sinal de áudio em questão sejam uniformemente distribuídas entre 0 e Enunciado 256017-4 Nessas condições, se as amostras do sinal forem quantizadas por um quantizador uniforme de 8 bits, a RSR será maior que 40 dB.
 

Provas

Questão presente nas seguintes provas

Analista de Correios - Engenharia Eletrônica

120 Questões