Magna Concursos
3000723 Ano: 2023
Disciplina: Estatística
Banca: CESGRANRIO
Orgão: Transpetro
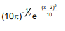
Seja y = x1 + x2, onde x1 e x2 são variáveis aleatórias gaussianas e estatisticamente independentes, cujos parâmetros (média (μx) e desvio padrão (σx)) são, respectivamente, (μx1 = 1 , σx1 = 1) e (μx2 = 1 , σx2 = 2).
A função densidade de probabilidade de y, fy (Y), é dada pela expressão
 

Provas

Questão presente nas seguintes provas

Engenheiro de Telecomunicações

70 Questões