Acerca do comando e proteção de motores, julgue o item seguinte.
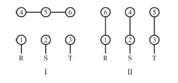
Na figura a seguir, o motor está ligado em delta no esquema I, e em estrela no esquema II.

Provas
Questão presente nas seguintes provas
Acerca do comando e proteção de motores, julgue o item seguinte.
Na figura a seguir, o motor está ligado em delta no esquema I, e em estrela no esquema II.
