A famosa sequência de Fibonacci pode ser definida como o sinal x(n), discreto, causal e infinito, cujas primeiras amostras são

A sua lei de formação para
pode ser expressa como 
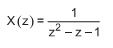
Aplicando a Transformada Z no sinal x(n), resulta a expressão
A sua lei de formação para
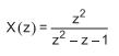
Aplicando a Transformada Z no sinal x(n), resulta a expressão