Magna Concursos
1493793 Ano: 2006
Disciplina: Estatística
Banca: NCE-UFRJ
Orgão: AGU
Provas:

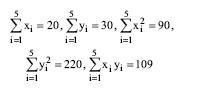
As notas de cinco alunos em português (X) e em matemática (Y) foram observadas e os seguintes resultados foram obtidos:

enunciado 1493793-1

O coeficiente de correlação entre essas notas é aproximadamente igual a:
 

Provas

Questão presente nas seguintes provas

Estatístico

100 Questões