- Estatística InferencialFunções Densidade de Probabilidade
- Estatística InferencialVariáveis AleatóriasVariável Aleatória Contínua
- Probabilidades
A função de densidade de probabilidade de uma variável aleatória contínua X é expressa por:

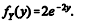
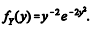
Se
então a função de densidade da variável Y para y
0 é
expressa por